Question

In: Statistics and Probability

6. [11 marks] A special committee of five professionals is formed from a group of four...

6. [11 marks] A special committee of five professionals is formed from a group of four lawyers, three doctors and three teachers. At least three lawyers are needed in the special committee. Define X as the number of teachers in the special committee.

  1. Construct the probability distribution of the random variable X.
  2. Calculate the expected of X and provide an interpretation of it.
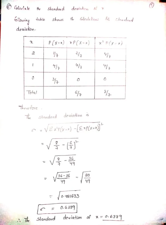
  3. Calculate the standard deviation of X.

Solutions

Expert Solution


Related Solutions

A special committee of five professionals is formed from a group of four lawyers, three doctors...
A special committee of five professionals is formed from a group of four lawyers, three doctors and three teachers. At least three lawyers are needed in the special committee. Define X as the number of teachers in the special committee. a) Construct the probability distribution of the random variable X. b) Calculate the expected of X and provide an interpretation of it. c) Calculate the standard deviation of X
Question 6 (11 marks) (Note this question is from the Week 11 Tutorial) There are four...
Question 6 (Note this question is from the Week 11 Tutorial) There are four (4) main transmission channels that can be used as monetary policy to target the official interest rate. Identify each of the four (4) transmission channels and explain, within the context of monetary policy, the impact each channel has on economic activity. (11 marks. Word limit Maximum 500 words)
Each week, a subcommittee of four individuals is formed from among the members of a committee...
Each week, a subcommittee of four individuals is formed from among the members of a committee comprising seven individuals. Two subcommittee members are then assigned to lead the subcommittee, one as chair and the other as secretary. Calculate the maximum number of consecutive weeks that can elapse without having the subcommittee contain four individuals who have previously served together with the same subcommittee chair. The answer is 140. Could you explain why? Thank you so much!
From a group of 4 women and 6 men, a committee of 4 members will be...
From a group of 4 women and 6 men, a committee of 4 members will be elected. a) How many committees can you choose? b) How many committees can be elected if there should be 3 men? c) How many committees can be elected if there should be at least one woman? d) If you want to choose a directive, that is, a president, vice president, treasurer and secretary, in how many ways can you choose? e) If the whole...
A committee of 2 women and 6 men is to be chosen randomly from a group...
A committee of 2 women and 6 men is to be chosen randomly from a group of 18 women and 13 men. a) What is the probability that "Ann" (female) and her friend "Bob" (male) are on the committee together? b) What is the probability that ``Ann''(female) and her friend ``Bob''(male) are on the committee and their friends ``Carla''(female) and ``Dan''(male) are also on the committee? c) Given that ``Carla'' and ``Dan'' have been chosen to be on the committee,...
A school dance committee of 4 people is selected at random from a group of 6...
A school dance committee of 4 people is selected at random from a group of 6 ninth graders, 11 eighth graders, and 10 seventh graders. What is the probability that the committee has all seventh graders?
A committee of 7 is to be formed out of 6 gents and 4 Ladies. In...
A committee of 7 is to be formed out of 6 gents and 4 Ladies. In how many ways this can be done, when                a). at least two ladies are included?                            b). at most two ladies are included?
Q1) Select a committee of size 4 from a group of 6 women and 4 men...
Q1) Select a committee of size 4 from a group of 6 women and 4 men if two of the women will only serve if they are together? Q2) Ten people are to be seated in a row at a concert. Four are from California, 3 are from Minnesota and 3 are from Wisconsin. a) How many different seating arrangements are possible? b) How many different seating arrangements are possible if everyone from Wisconsin must sit together? c) How many...
10). From a group of 6 men and 8 women a committee consisting of 4 men...
10). From a group of 6 men and 8 women a committee consisting of 4 men and 3 women is to be formed. How many different committees are possible if: a. 2 of the men refuse to serve together? b. 2 of the women refuse to serve together? c. 1 man and 1 woman refuse to serve together?
Question 6 (11 marks) (Note this question is from the Week 11 Tutorial) Required: A. Identify...
Question 6 (Note this question is from the Week 11 Tutorial) Required: A. Identify the four (4) key terms in Insurance Law. B. Briefly explain what indemnity means in Insurance Law. C. Briefly explain what the ‘doctrine of subrogation’ means and discuss its effect on the parties to an insurance contract. (Word limit: Minimum of 200 words. Maximum of 300 words)
ADVERTISEMENT
ADVERTISEMENT
ADVERTISEMENT