Question

In: Math

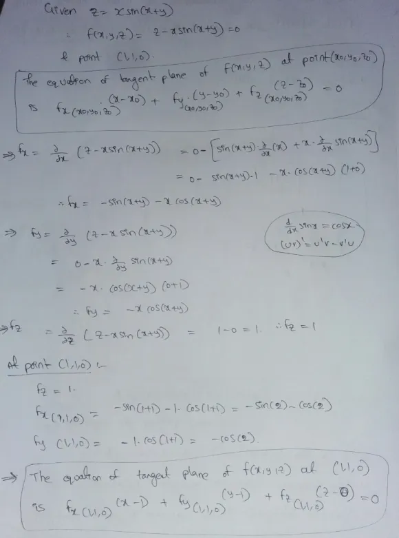
Find the tangent plane to Z= xsin(x+y) at (1,1,0)

Find the tangent plane to Z= xsin(x+y) at (1,1,0)

Solutions

Expert Solution


Related Solutions

Find the equation of the tangent plane to the surface x + y^2 + z^3 +...
Find the equation of the tangent plane to the surface x + y^2 + z^3 + sin(x − yz) = 7 at the point (2, 2, 1).
Find the coordinates of the point (x, y, z) on the plane z = 4 x...
Find the coordinates of the point (x, y, z) on the plane z = 4 x + 1 y + 4 which is closest to the origin.
a. Find the tangent plane to z=(10-x^2-2y^2)^2 at (1,2,1). b. Find the equation of the tangent...
a. Find the tangent plane to z=(10-x^2-2y^2)^2 at (1,2,1). b. Find the equation of the tangent plane to the level surface for w=x^2y+y^2z+xyz^2 when w=8 at (1,2,1).
*(1)(a) Find a formula for the intersection of a cone {(x,y,z): x^2+y^2=z^2} with a plane {(x,y,z):...
*(1)(a) Find a formula for the intersection of a cone {(x,y,z): x^2+y^2=z^2} with a plane {(x,y,z): z=c}. (b) Find a formula for the intersection of a cone {(x,y,z): x^2+y^2=z^2} with a plane {(x,y,z): x=a}. (c) Find a formula for the intersection of a cone {(x,y,z): x^2+y^2=z^2} with a plane {(x,y,z): y=b}. *(2) Find a formula for the intersection of a cone {(x,y,z): x^2+y^2=z^2} with a plane {(x,y,z): z=kx+b} assuming both b and k are positive. (a) For what value of...
Find the equation of the plane tangent to the function f(x, y) = (x^2)(y^2) cos(xy) at...
Find the equation of the plane tangent to the function f(x, y) = (x^2)(y^2) cos(xy) at x = y = π / √ 2 . Using this linearization to approximate f, how good is the approximation L(x, y) ≈ f(x, y) at x = y = π / √ 2 ? At x = y = 0? At (x, y) = (π, π)?
1a.Find the equation of the tangent plane to the surface √ x + √y + √...
1a.Find the equation of the tangent plane to the surface √ x + √y + √ z = 4 at P(1, 1, 4). 1b.Let f be a function of x and y such that fx = 3x − 5y and fy = 2y − 5x, which of the following is always TRUE? a. (0, 0) is not a critical point of f. b. f has a local minimum at (0, 0) c. f has a local maximum at (0, 0)...
Find an equation of the tangent plane to g(x,y)=e^(4x) -2xy+y^3 at (0,1)
Find an equation of the tangent plane to g(x,y)=e^(4x) -2xy+y^3 at (0,1)
Find an equation of the tangent plane to the graph of f(x, y)=sin(x3y2) at point (4,...
Find an equation of the tangent plane to the graph of f(x, y)=sin(x3y2) at point (4, 2).
6) a). Find the equation of the plane through the origin and perpendicular to x+y+z =...
6) a). Find the equation of the plane through the origin and perpendicular to x+y+z = 5 and 2x+y−2z = 7 b). Let A = (−1,3,0), B = (3,2,4) and C = (1,−1,5). ( I ) Find an equation for the plane that passes through these three points. ( II ) Find the area of the triangle determined by these three points.
The tangent plane of   f (x, y)  =  4x2y − 5xy3 at the point (1,1) can...
The tangent plane of   f (x, y)  =  4x2y − 5xy3 at the point (1,1) can be expressed in the form z  =  ax + by + c. (a) What is the value of a? (b) What is the value of c?
ADVERTISEMENT
ADVERTISEMENT
ADVERTISEMENT