In: Other
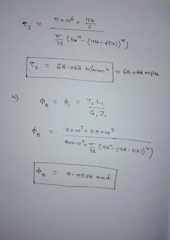
The composite shaft shown in the figure consists of two steel pipes that are connected at flange B and securely attached to rigid walls at A and C. Steel pipe (1) has an outside diameter of 158 mm and a wall thickness of 6 mm. Steel pipe (2) has an outside diameter of 114 mm and a wall thickness of 4 mm. Both pipes are 3.5 m long and have a shear modulus of 80 GPa. If a concentrated torque of 25 kN-m is applied to flange B, determine.
(a) the maximum shear stress magnitudes in pipes (1) and (2)
(b) the rotation angle of flange B relative to support A.

