Question

In: Statistics and Probability

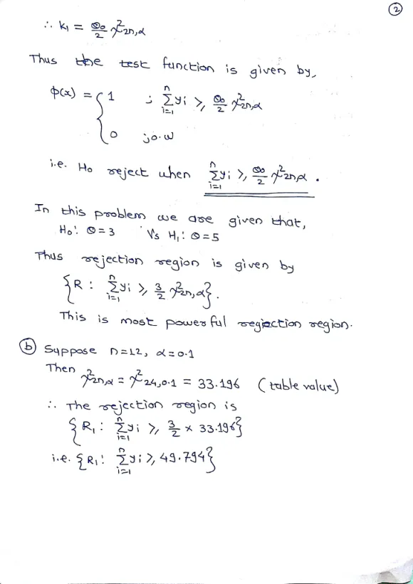
Let Y1, Y2, ..., Yn be a random sample from an exponential distribution with mean theta....

Let Y1, Y2, ..., Yn be a random sample from an exponential distribution with mean theta. We would like to test H0: theta = 3 against Ha: theta = 5 based on this random sample.

(a) Find the form of the most powerful rejection region.

(b) Suppose n = 12. Find the MP rejection region of level 0.1.

(c) Is the rejection region in (b) the uniformly most powerful rejection region of level 0.1 for testing H0: theta = 3 vs Ha: theta > 3?

Solutions

Expert Solution


Related Solutions

Let Y1, Y2, . . ., Yn be a random sample from a uniform distribution on...
Let Y1, Y2, . . ., Yn be a random sample from a uniform distribution on the interval (θ - 2, θ). a) Show that Ȳ is a biased estimator of θ. Calculate the bias. b) Calculate MSE( Ȳ). c) Find an unbiased estimator of θ. d) What is the mean square error of your unbiased estimator? e) Is your unbiased estimator a consistent estimator of θ?
Suppose that Y1 ,Y2 ,...,Yn is a random sample from distribution Uniform[0,2]. Let Y(n) and Y(1)...
Suppose that Y1 ,Y2 ,...,Yn is a random sample from distribution Uniform[0,2]. Let Y(n) and Y(1) be the order statistics. (a) Find E(Y(1)) (b) Find the density of (Y(n) − 1)2 (c) Find the density of Y(n) − Y (1)
Let y1, y2, .....y10 be a random sample from an exponential pdf with unknown parameter λ....
Let y1, y2, .....y10 be a random sample from an exponential pdf with unknown parameter λ. Find the form of the GLRT for H0: λ=λ0 versus H1:λ ≠ λ0. What integral would have to be evaluated to determine the critical value if α were equal to 0.05?
Let Y1,Y2,...,Yn be a Bernoulli distributed random sample with P(Yi = 1) = p and P(Yi...
Let Y1,Y2,...,Yn be a Bernoulli distributed random sample with P(Yi = 1) = p and P(Yi = 0) = 1−p for all i. (a) Prove that E(¯ Y ) = p and V (¯ Y ) = p(1−p)/n2, for the sample mean ¯ Y of Y1,Y2,...,Yn, and find a sufficient statistic U for p and show it is sufficient for p. (b) Find MVUE for p and show it is unbiased for p.
Consider a random sample (X1, Y1), (X2, Y2), . . . , (Xn, Yn) where Y...
Consider a random sample (X1, Y1), (X2, Y2), . . . , (Xn, Yn) where Y | X = x is modeled by Y=β0+β1x+ε, ε∼N(0,σ^2), where β0,β1and σ^2 are unknown. Let β1 denote the mle of β1. Derive V(βhat1).
Let Y1, Y2, . . . , Y20 be a random sample of size n =...
Let Y1, Y2, . . . , Y20 be a random sample of size n = 20 from a normal distribution with unknown mean µ and known variance σ 2 = 5. We want to test H0; µ = 7 vs. Ha : µ > 7. (a) Find the uniformly most powerful test with significance level 0.05. (b) For the test in (a), find the power at each of the following alternative values of µ: µa = 7.5, 8.0, 8.5,...
Let Y1, ... , Yn be a random sample that follows normal distribution N(μ,2σ^2) i)get the...
Let Y1, ... , Yn be a random sample that follows normal distribution N(μ,2σ^2) i)get the mle for σ^2 ii)prove using i) that it is an efficient estimator
Let Y1 < Y2 < Y3 < Y4 be the order statistics of a random sample...
Let Y1 < Y2 < Y3 < Y4 be the order statistics of a random sample of size n = 4 from a distribution with pdf f(x) = 3X2, 0 < x < 1, zero elsewhere. (a) Find the joint pdf of Y3 and Y4. (b) Find the conditional pdf of Y3, given Y4 = y4. (c) Evaluate E(Y3|y4)
Let Y1,...,Yn be a sample from the Uniform density on [0,2θ]. Show that θ = max(Y1,...
Let Y1,...,Yn be a sample from the Uniform density on [0,2θ]. Show that θ = max(Y1, . . . , Yn) is a sufficient statistic for θ. Find a MVUE (Minimal Variance Unbiased Estimator) for θ.
Suppose that X1, X2, , Xm and Y1, Y2, , Yn are independent random samples, with...
Suppose that X1, X2, , Xm and Y1, Y2, , Yn are independent random samples, with the variables Xi normally distributed with mean μ1 and variance σ12 and the variables Yi normally distributed with mean μ2 and variance σ22. The difference between the sample means, X − Y, is then a linear combination of m + n normally distributed random variables and, by this theorem, is itself normally distributed. (a) Find E(X − Y). (b) Find V(X − Y). (c)...
ADVERTISEMENT
ADVERTISEMENT
ADVERTISEMENT