Question

In: Other

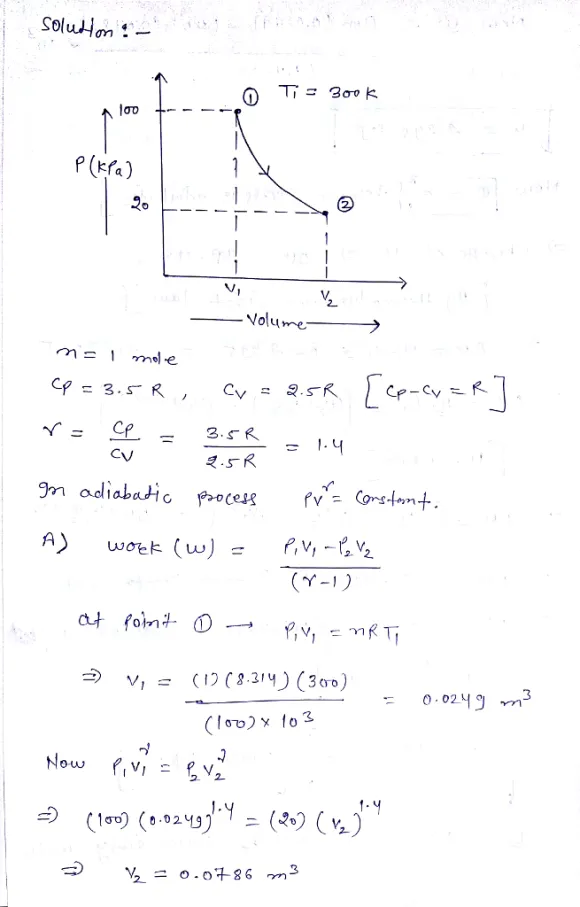
Calculate W,Q, Change of U, change of H ,and Change of S for the following two...

Calculate W,Q, Change of U, change of H ,and Change of S for the following two separate processes involved one mole of ideal gas(Cp= 3.5R) with the same initial state at 100kpa and 300k

A) the gas expands adiabatically and mechanical reversibly to 20kpa.

B) the gas expands to the same final state as process a) but it expands irreversibly with an efficiency of 60% compared with the reversible process a)

Solutions

Expert Solution


Related Solutions

what are ∆U, ∆H, ∆G, ∆A, ∆S, ∆Ssur, q and w for the following changes involving...
what are ∆U, ∆H, ∆G, ∆A, ∆S, ∆Ssur, q and w for the following changes involving a perfect diatomic gas – if all changes are reversible – (a) isentropic change (b) isochoric change (c) isobaric change (d) isothermal change (e) isenthalpic change (entropy S, enthalpy H, Gibbs energy G and Helmholtz energy A) Note, the perfect gas equation of state is pV = nRT.
Calculate q, w, ∆U and ∆H for 1.00 mole of a monatomic ideal gas which undergoes...
Calculate q, w, ∆U and ∆H for 1.00 mole of a monatomic ideal gas which undergoes a change of state along two different paths. (Note that the initial and final states are the same for both paths.) Report all energies in joules. Path I: Reversible isothermal compression at T= 298 K from 1.00 bar to 2.00 bar. Path II: (2 steps) 1.       Isobaric (constant pressure) cooling of the gas at 1.00 bar until the volume of the gas is equal...
If V = U ⊕ U⟂ and V = W ⊕ W⟂, and if S1: U...
If V = U ⊕ U⟂ and V = W ⊕ W⟂, and if S1: U → W and S2: U⟂ → W⟂ are isometries, then the linear operator defined for u1 ∈ U and u2 ∈ U⟂ by the formula S(u1 + u2) = S1u1 + S2u2 is a well-defined linear isometry. Prove this.
Suppose S = {p, q, r, s, t, u} and A = {p, q, s, t}...
Suppose S = {p, q, r, s, t, u} and A = {p, q, s, t} and B = {r, s, t, u} are events. x p q r s t u p(x) 0.15 0.25 0.2 0.15 0.1 (a) Determine what must be p(s). (b) Find p(A), p(B) and p(A∩B). (c) Determine whether A and B are independent. Explain. (d) Arer A and B mutually exclusive? Explain. (e) Does this table represent a probability istribution of any random variable? Explain.
3.5.4 ([Ber14, Ex. 3.6.14]). Let T : V → W and S : W → U...
3.5.4 ([Ber14, Ex. 3.6.14]). Let T : V → W and S : W → U be linear maps, with V finite dimensional. (a) If S is injective, then Ker ST = Ker T and rank(ST) = rank(T). (b) If T is surjective, then Im ST = Im S and null(ST) − null(S) = dim V − dim W
1. Let U = {r, s, t, u, v, w, x, y, z}, D = {s,...
1. Let U = {r, s, t, u, v, w, x, y, z}, D = {s, t, u, v, w}, E = {v, w, x}, and F = {t, u}. Use roster notation to list the elements of D ∩ E. a. {v, w} b. {r, s, t, u, v, w, x, y, z} c. {s, t, u} d. {s, t, u, v, w, x, y, z} 2. Let U = {r, s, t, u, v, w, x, y, z},...
1. Calculate the value of work (w) for the internal energy change in the following reactions...
1. Calculate the value of work (w) for the internal energy change in the following reactions at 298 K. Which direction is the work being applied, by the system or on the system? a) Ni(s) + 4 CO(g) .....> Ni(CO)4 (g) b) 2 NO2(g)  N2O4(g) 2-  For the following single step reaction, determine the reaction order overall and the orders of each reactant: N2H4(g) + H2(g)  2 NH3(g) 3-Draw and label a reaction energy diagram which is fast in...
The length ℓ, width w, and height h of a box change with time. At a...
The length ℓ, width w, and height h of a box change with time. At a certain instant the dimensions are ℓ = 4 m and w = h = 1 m, and ℓ and w are increasing at a rate of 8 m/s while h is decreasing at a rate of 2 m/s. At that instant find the rates at which the following quantities are changing. (a) The volume. (b) The surface area. (c) The length of a diagonal....
The length l, width w, and height h of a box change with time. At a...
The length l, width w, and height h of a box change with time. At a certain instant the dimensions are l = 2 m and w = h = 3 m, and l and w are increasing at a rate of 7 m/s while h is decreasing at a rate of 5 m/s. At that instant find the rates at which the following quantities are changing. (a) The volume. m3/s (b) The surface area. m2/s (c) The length of...
1. For each process, predict the sign of U, q, and w: a. An ideal gas...
1. For each process, predict the sign of U, q, and w: a. An ideal gas expanding in the vacuum of outer space b. A real (not-ideal) gas expanding in the vacuum of outer space c. A read (not-ideal) gas expanding in our atmosphere d. A muscle cell using anaerobic oxidation to bench-press 200 lbs. e. Nitromethane combustion being used to power a top-fuel dragster. f. External voltage being used to charge a lithium battery (which is an endothermic reaction).
ADVERTISEMENT
ADVERTISEMENT
ADVERTISEMENT