Question

In: Statistics and Probability

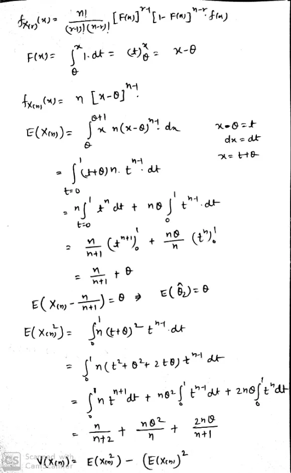
Let X1, . . . , Xn i.i.d. Uniform(θ, θ + 1). Show that: ˆθ1 =...

Let X1, . . . , Xn i.i.d. Uniform(θ, θ + 1). Show that: ˆθ1 = X¯ − 1 2 and ˆθ2 = X(n) − n n + 1 are both consistent estimators for θ.

Solutions

Expert Solution


Related Solutions

Let X1, . . . , Xn be i.i.d. samples from Uniform(0, θ). Show that for...
Let X1, . . . , Xn be i.i.d. samples from Uniform(0, θ). Show that for any α ∈ (0, 1), there is a cn,α, such that [max(X1,...,Xn),cn,α max(X1,...,Xn)] is a 1−α confidence interval of θ.
Let X1. . . . Xn be i.i.d f(x; θ) = θ(1 − θ)^x x =...
Let X1. . . . Xn be i.i.d f(x; θ) = θ(1 − θ)^x x = 0.. Is there a function of θ for which there exists an unbiased estimator of θ whose variance achieves the CRLB? If so, find it
Let X1,...,Xn be i.i.d. N(θ,1), where θ ∈ R is the unknown parameter. (a) Find an...
Let X1,...,Xn be i.i.d. N(θ,1), where θ ∈ R is the unknown parameter. (a) Find an unbiased estimator of θ^2 based on (Xn)^2. (b) Calculate it’s variance and compare it with the Cram ́er-Rao lower bound.
For a fixed θ>0, let X1,X2,…,Xn be i.i.d., each with the beta (1,θ) density. i) Find...
For a fixed θ>0, let X1,X2,…,Xn be i.i.d., each with the beta (1,θ) density. i) Find θ^ that is the maximum likelihood estimate of θ. ii) Let X have the beta (1,θ) density. Find the density of −log⁡(1−X). Recognize this as one of the famous ones and provide its name and parameters. iii) Find f that is the density of the MLE θ^ in part (i).
R simulation: Let X1, . . . , Xn be i.i.d. random variables from a uniform...
R simulation: Let X1, . . . , Xn be i.i.d. random variables from a uniform distribution on [0, 2]. Generate and plot 10 paths of sample means from n = 1 to n = 40 in one figure for each case. Give some comments to empirically check the Law of Large Numbers. (a) When n is large, X1 + · · · + Xn/n  converges to E[Xi]. (b) When n is large, X1^2+ · · · + Xn^2/n converges to...
6.42 Let X1,..., Xn be an i.i.d. sequence of Uniform (0,1) random variables. Let M =...
6.42 Let X1,..., Xn be an i.i.d. sequence of Uniform (0,1) random variables. Let M = max(X1,...,Xn). (a) Find the density function of M. (b) Find E[M] and V[M].
Let X1, ..., Xn be i.i.d random variables with the density function f(x|θ) = e^(θ−x) ,...
Let X1, ..., Xn be i.i.d random variables with the density function f(x|θ) = e^(θ−x) , θ ≤ x. a. Find the Method of Moment estimate of θ b. The MLE of θ (Hint: Think carefully before taking derivative, do we have to take derivative?)
6. Let X1; : : : ;Xn be i.i.d. samples from Uniform(0;theta ). (a) Find cn...
6. Let X1; : : : ;Xn be i.i.d. samples from Uniform(0;theta ). (a) Find cn such that Theta1 = cn min(X1; : : : ;Xn) is an unbiased estimator of theta (b) It is easy to show that theta2 = 2(X-bar) is also an unbiased estimator of theta(you do not need to show this). Compare theta1 and theta2. Which is a better estimator of theta? Specify your criteria.
Suppose X1; : : : ; Xn is i.i.d Exponential distribution with density f(xjθ) = (1/θ)...
Suppose X1; : : : ; Xn is i.i.d Exponential distribution with density f(xjθ) = (1/θ) * e(-x/θ); 0 ≤ x < 1; θ > 0: (a) Find the UMVUE (the best unbiased estimator) of θ. (b) What is the Cramer-Rao lower bound of all unbiased estimator of all unbiased estimator of θ. Does the estimator from (a) attain the lower bound? Justify your answer. (c) What is the Cramer-Rao lower bound of all unbiased estimator of θ^2? 3 (d)...
Suppose X1, ..., Xn are i.i.d. from an exponential distribution with mean θ. If we are...
Suppose X1, ..., Xn are i.i.d. from an exponential distribution with mean θ. If we are testing H0 : θ = θ0 vs Ha : θ > θ0. Suppose we reject H0 when ( X¯n/ θ0) > 1 + (1.645/ √n) (a) (10 points) Calculate the power function G(ζ). You may leave your answer in terms of the standard normal cdf Φ(x). (b) (5 points) Is this test consistent?
ADVERTISEMENT
ADVERTISEMENT
ADVERTISEMENT