Question

In: Chemistry

Determine the pH during the titration of 34.9 mL of 0.331 M triethylamine ((C2H5)3N , Kb...

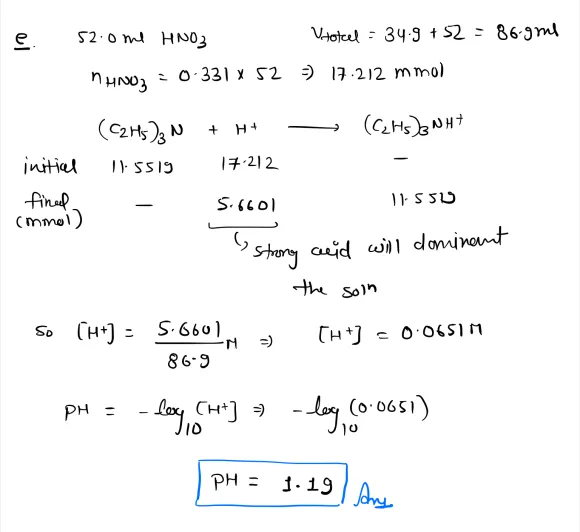
Determine the pH during the titration of 34.9 mL of 0.331 M triethylamine ((C2H5)3N , Kb = 5.2×10-4) by 0.331 M HNO3 at the following points.

(a) Before the addition of any HNO3. _________

(b) After the addition of 13.6 mL of HNO3 _____  

(c) At the titration midpoint ______

(d) At the equivalence point _______

(e) After adding 52.0 mL of HNO3 ________

Solutions

Expert Solution


Related Solutions

Determine the pH during the titration of 33.7 mL of 0.345 M triethylamine ((C2H5)3N, Kb =...
Determine the pH during the titration of 33.7 mL of 0.345 M triethylamine ((C2H5)3N, Kb = 5.2×10-4) by 0.345 M HI at the following points. (Assume the titration is done at 25 °C.) Note that state symbols are not shown for species in this problem. (a) Before the addition of any HI (b) After the addition of 15.0 mL of HI (c) At the titration midpoint (d) At the equivalence point (e) After adding 51.9 mL of HI
Find the pH during the titration of 20.00 mL of 0.1000 M triethylamine, (CH3CH2)3N (Kb =...
Find the pH during the titration of 20.00 mL of 0.1000 M triethylamine, (CH3CH2)3N (Kb = 5.2 ×10−4), with 0.1000 M HCl solution after the following additions of titrant. (a) 11.00 mL: pH = (b) 20.60 mL: pH = (c) 26.00 mL: pH =
Find the pH during the titration of 20.00 mL of 0.1000 M triethylamine (CH3CH2)3N (Kb =...
Find the pH during the titration of 20.00 mL of 0.1000 M triethylamine (CH3CH2)3N (Kb = 5.2x10^-4), with 0.1000 M HCl solution after the following additions of titrant. (a) 13.00 mL (b) 20.10 mL (c) 27.00 mL
Determine the pH during the titration of 38.2 mL of 0.207 M diethylamine ((C2H5)2NH, Kb =...
Determine the pH during the titration of 38.2 mL of 0.207 M diethylamine ((C2H5)2NH, Kb = 6.9×10-4) by 0.207 M HNO3 at the following points. (Assume the titration is done at 25 °C.) Note that state symbols are not shown for species in this problem. (a) Before the addition of any HNO3 _______ (b) After the addition of 14.6 mL of HNO3 ______ (c) At the titration midpoint ________ (d) At the equivalence point _______ (e) After adding 59.2 mL...
Calculate the pH of a 0.0290 M aqueous solution of the weak base triethylamine ((C2H5)3N, Kb...
Calculate the pH of a 0.0290 M aqueous solution of the weak base triethylamine ((C2H5)3N, Kb = 5.20×10-4). pH = ?
Determine the pH during the titration of 36.3 mL of 0.281 M trimethylamine ((CH3)3N, Kb =...
Determine the pH during the titration of 36.3 mL of 0.281 M trimethylamine ((CH3)3N, Kb = 6.3×10-5) by 0.281 M HBr at the following points. (Assume the titration is done at 25 °C.) Note that state symbols are not shown for species in this problem. (a) Before the addition of any HBr ? (b) After the addition of 15.7 mL of HBr ? (c) At the titration midpoint ? (d) At the equivalence point ? (e) After adding 57.7 mL...
Determine the pH during the titration of 36.0 mL of 0.235 M trimethylamine ((CH3)3N, Kb =...
Determine the pH during the titration of 36.0 mL of 0.235 M trimethylamine ((CH3)3N, Kb = 6.3×10-5) by 0.235 M HBr at the following points. (Assume the titration is done at 25 °C.) Note that state symbols are not shown for species in this problem. a.) Before the addition of any HBr b.) After the addition of 15.3 mL of HBr c.) At the titration midpoint d.) At the equivalence point e.) After adding 56.2 mL of HBr
A 3.452 M solution of triethylamine ((C2H5)3N, Kb= 4e-4) has a pH of 12.57. What is...
A 3.452 M solution of triethylamine ((C2H5)3N, Kb= 4e-4) has a pH of 12.57. What is the percent ionization of this solution?
Find the pH during titration of 20.00ml of 0.1000 M triethylamine, (CH3CH2)3N (Kb=5.210^-4), with 0.1000M HCL...
Find the pH during titration of 20.00ml of 0.1000 M triethylamine, (CH3CH2)3N (Kb=5.210^-4), with 0.1000M HCL solution after the following additions of titrants a) 10.00mL b) 20.70 mL c) 27.00 mL
1.) A 25.3 mL sample of 0.329 M triethylamine, (C2H5)3N, is titrated with 0.344 M nitric...
1.) A 25.3 mL sample of 0.329 M triethylamine, (C2H5)3N, is titrated with 0.344 M nitric acid. The pH before the addition of any nitric acid = 2.) A 20.8 mL sample of 0.275 M triethylamine, (C2H5)3N, is titrated with 0.304 M hydrochloric acid. At the equivalence point, the pH =
ADVERTISEMENT
ADVERTISEMENT
ADVERTISEMENT