WizEdu
Home
Questions
Search Answers
Scan Question
Earn Money
+ Post Homework Answers
Sign Up
Login
Home
Questions
Math
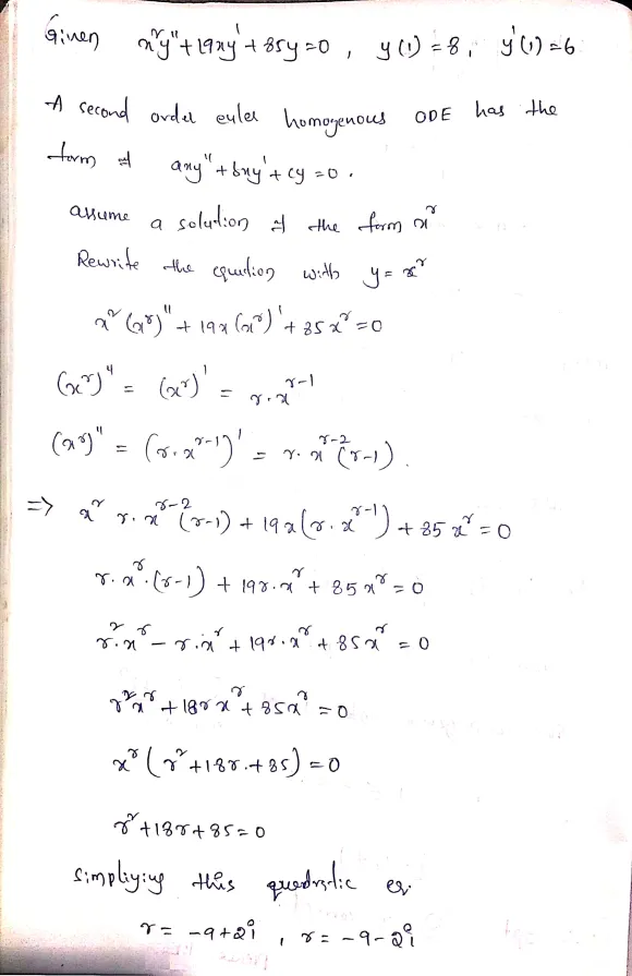
Solve the following initial value problem. x2y′′ + 19xy′ + 85y = 0, y(1) = 8, y′(1) ...
Question
In:
Math
Solve the following initial value problem. x2y′′ + 19xy′ + 85y = 0, y(1) = 8, y′(1) ...
Solve the following initial value problem.
x
2
y
′′ + 19
xy
′ + 85
y
= 0,
y
(1) = 8,
y
′
(1) = 6
Solutions
Expert Solution
Next >
< Previous
Related Solutions
Solve the initial value problem: y'' + 4y' + 4y = 0; y(0) = 1, y'(0)...
Solve the initial value problem: y'' + 4y' + 4y = 0; y(0) = 1, y'(0) = 0. Solve without the Laplace Transform, first, and then with the Laplace Transform.
11. Solve numerically the following Boundary Value Problem. X2Y” – X(X+2)Y’ + (X+2)Y = 0 Y(1)...
11. Solve numerically the following Boundary Value Problem. X2Y” – X(X+2)Y’ + (X+2)Y = 0 Y(1) = e and Y(2) = 2e2 The value of e = 2.71828
Use a Laplace transform to solve the initial value problem: y''' =y+1, y(0) = 0, y'(0)...
Use a Laplace transform to solve the initial value problem: y''' =y+1, y(0) = 0, y'(0) = 0, y''(0) = 0.
Solve the laplace transform to solve the initial value problem. y"-6y'+9y=t. Y(0)=0, y'(0)=1
Solve the laplace transform to solve the initial value problem. y"-6y'+9y=t. Y(0)=0, y'(0)=1
solve the initial value problem Y" + 2Y' - Y = 0, Y(0)=0,Y'(0) = 2sqrt2
solve the initial value problem Y" + 2Y' - Y = 0, Y(0)=0,Y'(0) = 2sqrt2
Solve the following initial value problem. y(4) − 5y′′′ + 4y′′ = x, y(0) = 0, y′(0) ...
Solve the following initial value problem. y(4) − 5y′′′ + 4y′′ = x, y(0) = 0, y′(0) = 0, y′′(0) = 0, y′′′(0) = 0.
Solve the initial value problem: y''' - 12y'' + 48y' - 72y = 0 ; y(0)...
Solve the initial value problem: y''' - 12y'' + 48y' - 72y = 0 ; y(0) = 1, y'(0) = 0, y''(0) = 0
Solve the given initial-value problem. y′′′ + 18y′′ + 81y′ = 0, y(0) = 0, y′(0)...
Solve the given initial-value problem. y′′′ + 18y′′ + 81y′ = 0, y(0) = 0, y′(0) = 1, y′′(0) = −10.
Solve the initial value problem: y''+2y'+y = x^2 , y(0)=0 , y'(0) = 0
Solve the initial value problem: y''+2y'+y = x^2 , y(0)=0 , y'(0) = 0
use laplace transform to solve the initial value problem: y''+4y=3sint y(0)=1, y'(0)=-1
use laplace transform to solve the initial value problem: y''+4y=3sint y(0)=1, y'(0)=-1
ADVERTISEMENT
Subjects
Accounting
Advanced Math
Anatomy and Physiology
Biology
Chemistry
Civil Engineering
Computer Science
Economics
Electrical Engineering
Finance
History
Math
Mechanical Engineering
Operations Management
Physics
Psychology
Statistics and Probability
Nursing
Other
ADVERTISEMENT
Latest Questions
How would the following affect digestion? Why? A lack of bile production. A decrease in saliva...
Citation Builders, Inc., builds office buildings and single-family homes. The office buildings are constructed under contract...
11.) which of the following is a function of the integument? a.) attract pollinators b.) protect...
Paper I: Letter to the CEO RE: - Accounting Principles: Why ethics is a fundamental business...
In your summary you should address the following questions: What is simple diffusion? What factors determine...
I am having issues using bool CustomerList::updateStore(). I am using strcpy in order to update input...
Biochemistry 1. what is the biochemical cause for familial hypercholestemia? 2. What enzyme is targeted by...
ADVERTISEMENT