Question

In: Statistics and Probability

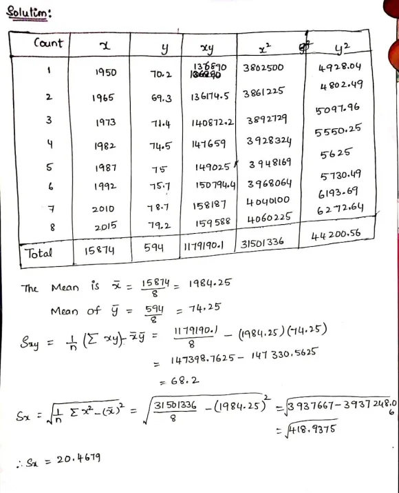
Can you predict the life expectancy for an individual born in the United States in certain...

Can you predict the life expectancy for an individual born in the United States in certain years?
Year of Birth: 1950; 1965; 1973; 1982; 1987; 1992; 2010; 2015
Life Expectancy: 70.2; 69.3; 71.4; 74.5; 75; 75.7; 78.7, 79.2


If you can make predictions, when year of birth is 1990, what is the life expectancy? Please answer in a whole number.
If you can’t make a prediction, put the word "none" in the answer box.

Solutions

Expert Solution


Related Solutions

The table below shows the life expectancy for an individual born in the United States in...
The table below shows the life expectancy for an individual born in the United States in certain years. Year of Birth Life Expectancy 1930 59.7 1940 62.9 1950 70.2 1965 69.7 1973 71.4 1982 74.5 1987 75 1992 75.7 2010 78.7 For the least squares line Y(hat) = bX + a a = (#.##) b = (#.##) r = (#.####); p (< or > or =) alpha The estimated life expectancy for an individual born in 1950 and for one...
The table below shows the life expectancy for an individual born in the United States in...
The table below shows the life expectancy for an individual born in the United States in certain years. Year of Birth Life Expectancy 1930 59.7 1940 62.9 1950 70.2 1965 69.7 1973 71.4 1982 74.5 1987 75 1992 75.7 2010 78.7 Find the estimated life expectancy for an individual born in 1965 and for one born in 1992. (Round your answers to one decimal place.)
The table below shows the life expectancy for an individual born in the United States in...
The table below shows the life expectancy for an individual born in the United States in certain years. Year of Birth Life Expectancy 1930 59.7 1940 62.9 1950 70.2 1965 69.7 1973 71.4 1982 74.5 1987 75 1992 75.7 2010 78.7 1. Find the estimated life expectancy for an individual born in 1973 2. Use the two points in part (e) to plot the least squares line on your graph from part (b). 3. Are there any outliers in the...
What do you think can be done to reverse decreasing life expectancy in the United States...
What do you think can be done to reverse decreasing life expectancy in the United States due to suicide, drug overdose, and alcoholism?
The life expectancy in the United States is 75 with a standard deviation of 7 years....
The life expectancy in the United States is 75 with a standard deviation of 7 years. A random sample of 49 individuals is selected. Round all probabilities to four decimal places. a.What is the probability that the sample mean will be larger than 77 years? b.What is the probability that the sample mean will be within 1 year of the population mean? c.What is the probability that the sample mean will be within 2.5 years of the population mean?
The life expectancy in the United States is 75 with a standard deviation of 7 years....
The life expectancy in the United States is 75 with a standard deviation of 7 years. a. For a sample of 49, what is the probability that the sample mean will be within 1.4 years of the mean? b. For a sample of 49, what is the probability that the sample mean will be within 2 years of the mean? c. For a sample of 81, what is the probability that the sample mean will be within 1.4 years of...
The life expectancy in the United States is 75 with a standard deviation of 7 years....
The life expectancy in the United States is 75 with a standard deviation of 7 years. A random sample of 49 individuals is selected. Round all probabilities to four decimal places. What is the probability that the sample mean will be larger than 77 years? Answer What is the probability that the sample mean will be within 1 year of the population mean? Answer What is the probability that the sample mean will be within 2.5 years of the population...
A)The life expectancy in the United States has a mean of 75 with a standard deviation...
A)The life expectancy in the United States has a mean of 75 with a standard deviation of 7 years and follows a normal distribution. What is the probability of an individual living longer than 80 years? b)In the two upcoming basketball games, the probability that UTC will defeat Marshall is 0.63, and the probability that UTC will defeat Furman is 0.55. The probability that UTC will defeat both opponents is 0.3465. What is the probability that UTC will defeat Furman...
The life expectancy for females in a certain country born during 1980−1985 was approximately 75.2 years....
The life expectancy for females in a certain country born during 1980−1985 was approximately 75.2 years. This grew to 76 years during 1985−1990 and to 76.2 years during 1990−1995. Construct a model for this data by finding a quadratic equation whose graph passes through the points ​(0,75.2​),​(5​,76​),and ​(10​,76.2​). Use this model to estimate the life expectancy for females born between 1995 and 2000 and for those born between 2000 and 2005. Let x be the number of years since 1980...
Aging and Environmental Influences Life expectancy has continued to increase in the United States. Please respond...
Aging and Environmental Influences Life expectancy has continued to increase in the United States. Please respond to the following: What health practices would you suggest to promote longevity? Based upon the description of contemporary theories of aging: genetic, non-genetic cellular, and physiological, which theory do you believe is most impactful in describing the aging process and why? What are some of the stress management techniques you would recommend to a client who is dealing with a distressing life event, such...
ADVERTISEMENT
ADVERTISEMENT
ADVERTISEMENT