In: Math

A diagnostic test for a certain disease is applied to n individuals known to not have the disease. Let X = the number among the n test results that are positive indicating presence of the disease, so X is the number of false positives) and p = the probability that a disease-free individual's test result is positive (i.e., p is the true proportion of test results from disease-free individuals that are positive). Assume that only X is available rather than the actual sequence of test results.
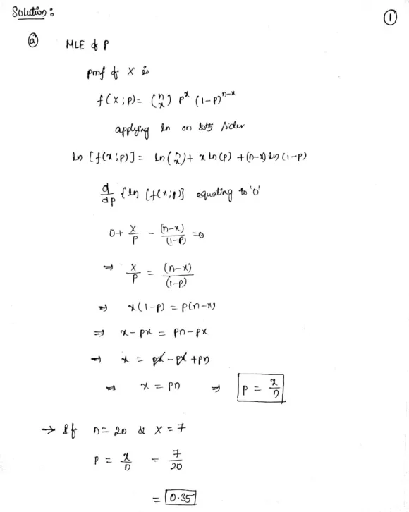
(a) Derive the maximum likelihood estimator of p.
If n = 20 and x = 7, what is the estimate?
(b) Is the estimator of part (a) unbiased?
(c) If n = 20 and x = 7, what is the mle of the probability (1 - p)5 that none of the next five tests done on disease-free individuals are positive? (Round your answer to four decimal places.)