Question

In: Physics

Consider the filtering stage of a biomedical device that passes physiological signals with frequencies ranging between...

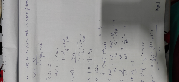
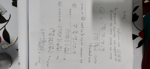
Consider the filtering stage of a biomedical device that passes physiological signals with frequencies ranging between 159Hz and 1.59kHz and that delivers a total gain of four.

Design the electronic circuit of the filtering stage using Sallen-Key Filter topology and using 10kΩ resistors only. Find the value of the capacitors in the circuit designed.

Solutions

Expert Solution


Related Solutions

A white noise generator produces combinations of 5 unique frequencies randomly picked from frequencies ranging between...
A white noise generator produces combinations of 5 unique frequencies randomly picked from frequencies ranging between 100Hz to 2000Hz in intervals of 100Hz (that is, a total of 20 available frequencies: 100Hz, 200Hz,…,2000Hz). The generator resets the frequency choices every time it is turned off and restarted. If this white noise generator is used 10 times, a. What is the probability that none of the of the selected 5 frequencies are less than or equal to 1000 Hz? b. What...
AM radio signals have frequencies between 550 kHz and 1600 kHz (kilohertz) and travel with a...
AM radio signals have frequencies between 550 kHz and 1600 kHz (kilohertz) and travel with a speed of 3.00 108 m/s. What are the wavelengths of these signals?550 kHz signalm1600 kHz signalmOn FM, the frequencies range from 88.0 MHz to 108 MHz (megahertz) and travel at the same speed. What are their wavelengths?88.0 MHz signalm108 MHz signalm
which factors the markets must consider in making a choice between single stage segmentation and second-stage...
which factors the markets must consider in making a choice between single stage segmentation and second-stage segmentation?
Consider how the intensity of light changes as it passes between two Polaroid disks at different...
Consider how the intensity of light changes as it passes between two Polaroid disks at different angles to each other. (For this scenario, suppose that the polaroid closest to the light source remains fixed with the zero degree marking pointing straight up. Therefore, the second Polaroid disk is the one being rotated, and the angles for the graph should be the angle between the zero degree marking of the first disk and the position of the second disk. ) a....
Consider a two-stage cascade refrigeration system operating between the pressure limits of 1.2 MPa and 200...
Consider a two-stage cascade refrigeration system operating between the pressure limits of 1.2 MPa and 200 kPa with refrigerant R717 (Ammonia) a as the working fluid. The refrigerant leaves the condenser as a saturated liquid and is throttled to a flash chamber operating at 0.45 MPa. Part of the refrigerant evaporates during this flashing process, and this vapor is mixed with the refrigerant leaving the low-pressure compressor. The mixture is then compressed to the condenser pressure by the high-pressure compressor....
Consider the following two-stage entry-pricing game between an incumbent firm and a potential entrant: 2 players:...
Consider the following two-stage entry-pricing game between an incumbent firm and a potential entrant: 2 players: {incumbent, entrant} Two-stage game: Stage-1: Potential entrant makes its entry decision by choosing from {Enter, Do not enter}; Stage-2: The incumbent and the new entrant engage in simultaneous-move pricing game. If the potential entrant chooses to enter, she must incur a one-time fixed cost of entry, f, prior to engaging in price competition. This cost includes the advertising and marketing expenses which must be...
ADVERTISEMENT
ADVERTISEMENT
ADVERTISEMENT