Question

In: Physics

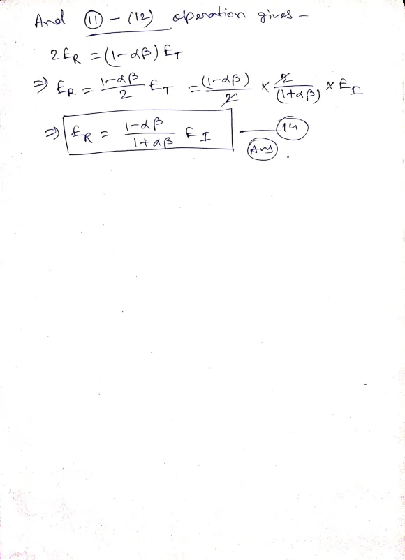
Derive the Fresnel equations for the complex amplitude of the reflected and transmitted electric fields ?or...

Derive the Fresnel equations for the complex amplitude of the reflected and transmitted electric fields ?or and ?ot, in terms of the amplitude of the incident electric field ?oi, for a plane wave incident at an oblique angle on an interface between two dielectrics, when the polarization of the incident wave is perpendicular to the plane of incidence (s-polarized). Express the answer in terms of the parameters ?= costhetaT/costhetaI and ?=M1v1/M2v2. <-M mue

Solutions

Expert Solution


Related Solutions

Derive the angular spectrum of the field transmitted through an amplitude grating that the transmission coefficient...
Derive the angular spectrum of the field transmitted through an amplitude grating that the transmission coefficient is T=T0* cos^2(2pi*x/a). Assuming normal incident plane wave at wavelength ?. Based on the result, design a amplitude grating that has uniform power distribution into three diffraction orders.
Derive wave equations or the electric field and magnetic field in vacuum. (Refer to Griffiths "Introduction...
Derive wave equations or the electric field and magnetic field in vacuum. (Refer to Griffiths "Introduction to electrodynamics" Chapter 9.2.1)
Find the amplitude and phase of the reflected and transmitted waves for the case where the...
Find the amplitude and phase of the reflected and transmitted waves for the case where the knot has a mass m and the second string is massless.
Obtain the complex-form Poynting theorem by writing Maxwell's equations for harmonic fields. explain what each term...
Obtain the complex-form Poynting theorem by writing Maxwell's equations for harmonic fields. explain what each term means.
-Do electric fields extend through the interior of an insulator in static equilibrium? -Do electric fields...
-Do electric fields extend through the interior of an insulator in static equilibrium? -Do electric fields extend through the interior of an conductor in static equilibrium? -What is the relationship between electric field lines and equipotential lines?
electric field and electric potential. To understand the formative properties of charges on the electric fields...
electric field and electric potential. To understand the formative properties of charges on the electric fields that were formed and the relationship between electric fields and electric potential. Here are two question from anaysis part, can you answer them in general. 3.) Discuss the results of each of the three conductive sheets in terms of (1) the propertiesof electric field lines, (2) the properties of equipotentials, and (3) properties ofconductors listed in the Background Information section. How do the shapes...
Derive Navier0Stokes equations for the 'agitated vessel'.
Derive Navier0Stokes equations for the 'agitated vessel'.
This week two big concepts discussed are electric fields and electric potential, with electric potential being...
This week two big concepts discussed are electric fields and electric potential, with electric potential being the basis for voltage. Along with the general discussion of these concepts, some interesting and common applications were briefly talked about like copiers, printers, TVs, etc. Can you find two examples - one for electric field, one for electric potential - that are connected to the field of biology Please no handwritten or picture responses - only typed replies.
Compare and contrast Ampere's law for magnetic fields to Gauss's law for electric fields (how they...
Compare and contrast Ampere's law for magnetic fields to Gauss's law for electric fields (how they are similar, how they are different). Include in your discussion why Gauss's law for magnetic fields is not very useful. Please be detailed in your response and demonstrate mastery of the concept of Ampere's law and how it is used.
Derive the state-space equations of a Cuk converter
Derive the state-space equations of a Cuk converter
ADVERTISEMENT
ADVERTISEMENT
ADVERTISEMENT