Question

In: Chemistry

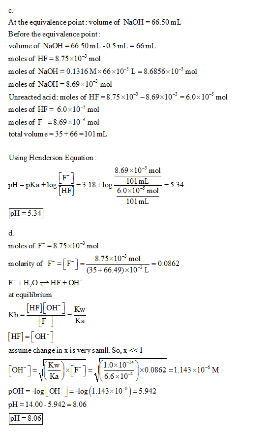
A 35.00 mL solution of 0.25M HF is titrated with a standardized 0.1316M solution of NaOH...

A 35.00 mL solution of 0.25M HF is titrated with a standardized 0.1316M solution of NaOH at 25C.

a.What is the PH of the HF solution before titrant is added?

b.How many milliliters of titrant are required to reach the equivalence point?

c.What is the PH at 0.5ml before the equivalence point?

d.What is the PH at the equivalence point?

e.What is the PH at 0.5 ml after the equivalence point?

Solutions

Expert Solution


Related Solutions

A 35.00 mL solution of 0.25M HF is titrated with a standardized 0.1281M solution of NaOH...
A 35.00 mL solution of 0.25M HF is titrated with a standardized 0.1281M solution of NaOH at 25C. a.What is the PH of the HF solution before titrant is added? b.How many milliliters of titrant are required to reach the equivalence point? c.What is the PH at 0.5ml before the equivalence point? d.What is the PH at the equivalence point? e.What is the PH at 0.5 ml after the equivalence point?
A 35.00 mL solution of 0.25M HF is titrated with a standardized 0.1408 M solution of...
A 35.00 mL solution of 0.25M HF is titrated with a standardized 0.1408 M solution of NaOH at 25C. a.What is the PH of the HF solution before titrant is added? b.How many milliliters of titrant are required to reach the equivalence point? c.What is the PH at 0.5ml before the equivalence point? d.What is the PH at the equivalence point? e.What is the PH at 0.5 ml after the equivalence point?
. A 35.00-mL solution of 0.2500 M HF is titrated with a standardized 0.1532 M solution...
. A 35.00-mL solution of 0.2500 M HF is titrated with a standardized 0.1532 M solution of NaOH at 25 °C. The Ka value for HF is 6.8 x 10-4 . (a) What is the pH of the HF solution before titrant is added? (b) How many milliliters of titrant are required to reach the equivalence point? (c) What is the pH at 0.50 mL before the equivalence point? (d) What is the pH at the equivalence point? (e) What...
A 35.00 mL solution of 0.2500 M HF is titrated with a standardized 0.1083 M solution...
A 35.00 mL solution of 0.2500 M HF is titrated with a standardized 0.1083 M solution of NaOH at 25 degrees C. (a) What is the pH of the HF solution before titrant is added? (b) How many milliliters of titrant are required to reach the equivalence point? (c) What is the pH at 0.50 mL before the equivalence point? (d) What is the pH at the equivalence point? (e) What is the pH at 0.50 mL after the equivalence...
A 35.00 mL solution of 0.2500 M HF is titrated with a standardized 0.1118 M solution...
A 35.00 mL solution of 0.2500 M HF is titrated with a standardized 0.1118 M solution of NaOH at 25 degrees C. a.) What is the pH of the HF solution before titrant is added? b.) How many mL of titrant are required to reach the equivalence point? c.) What is the pH of 0.50 mL before the equivalence point? d.) What is the pH at the equivalence point? e.) What is the pH at 0.50 mL after the equivalence...
A 35.00-mL solution of 0.2500 M HF is titrated with a standardized 0.1120 M solution of...
A 35.00-mL solution of 0.2500 M HF is titrated with a standardized 0.1120 M solution of NaOH at 25 C 1) the pH at 0.50 mL before the equivalence point 2) the pH at the equivalence point 3) the pH at 0.50 ml after the equivalence point.
A 35.00 mL sample of an unknown H3PO4solution is titrated with a 0.130 M NaOH solution....
A 35.00 mL sample of an unknown H3PO4solution is titrated with a 0.130 M NaOH solution. The equivalence point is reached when 25.83 mLof NaOH solution is added. What is the concentration of the unknown H3PO4 solution? The neutralization reaction is H3PO4(aq)+3NaOH(aq)→3H2O(l)+Na3PO4(aq)
A solution of HF is titrated with 0.150 M NaOH. The pH at the equivalence point...
A solution of HF is titrated with 0.150 M NaOH. The pH at the equivalence point will be greater than 7.0 less than 7.0 equal to 7.0 cannot be estimated from the information given.
In a titration, 25.0ml of .35 M hydrofluoric acid, HF solution is titrated with NaOH solution....
In a titration, 25.0ml of .35 M hydrofluoric acid, HF solution is titrated with NaOH solution. a) Calculate the solution ph when 13.0ml of .25 M NaOH is added to the acid. b) Calculate the solution ph at the equivalence point.
50.0 mL of a 0.100 -M HoAc solution is titrated with a 0.100 -M NaOH solution....
50.0 mL of a 0.100 -M HoAc solution is titrated with a 0.100 -M NaOH solution. Calculate the pH at each of the following points. Volume of NaOH added: 0, 5, 10, 25, 40 ,45 , 50 , 55 , 60 , 70 , 80 , 90 , 100
ADVERTISEMENT
ADVERTISEMENT
ADVERTISEMENT