Question

In: Physics

A block is attached to the top of a spring that stands vertically on a table....

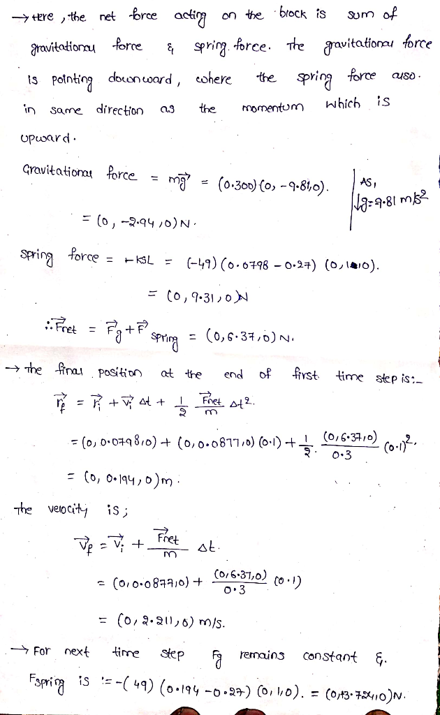
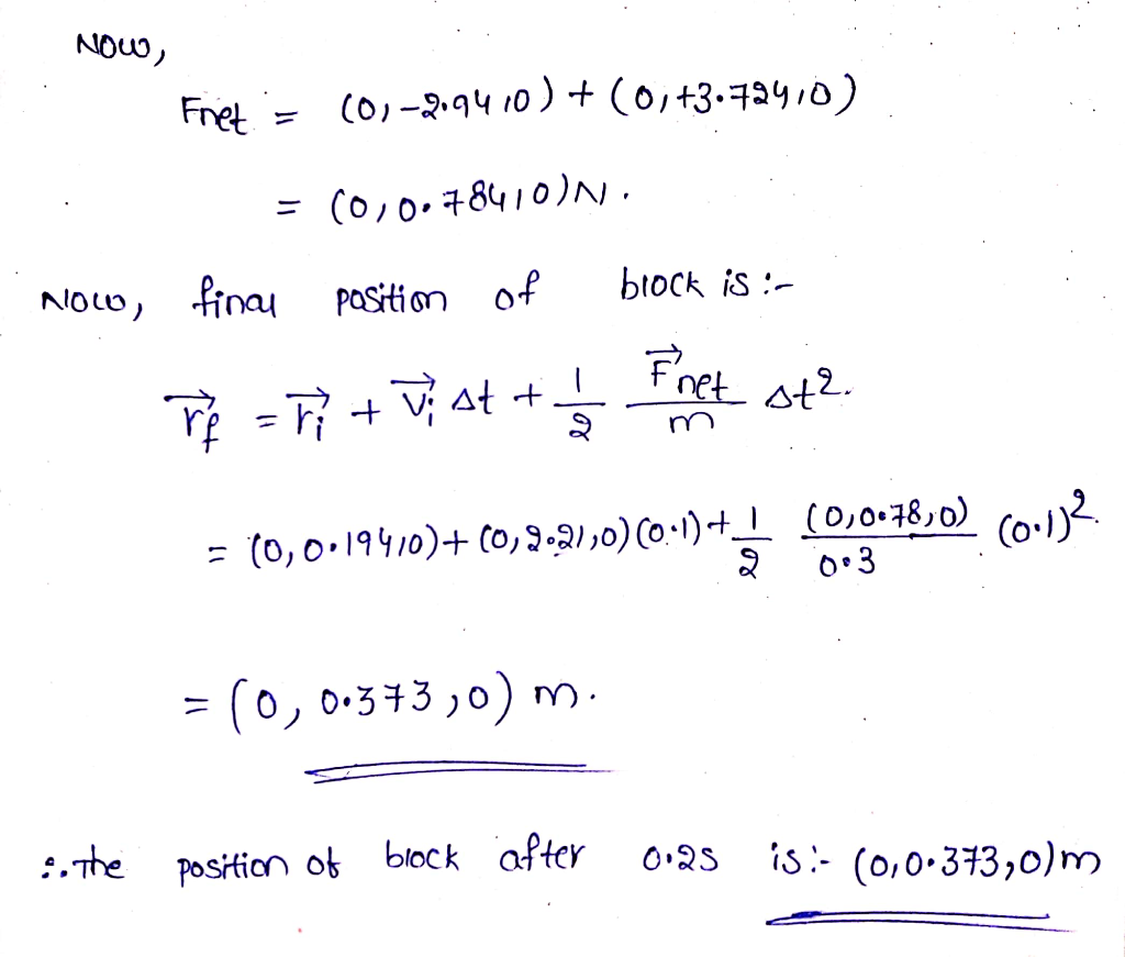
A block is attached to the top of a spring that stands vertically on a table. The spring stiffness is 49 N/m, its relaxed length is 27 cm, and the mass of the block is 300 g. The block is oscillating up and down as the spring stretches and compresses. At a particular time you observe that the velocity of the block is <0, 0.0877, 0> m/s and the position of the block is <0, 0.0798, 0> m relative to an origin at the base of the spring. Using a time step of 0.1 s, determine the position of the block 0.2 s later. The correct answer is .373651. How was this answer found?

Solutions

Expert Solution


Related Solutions

A block rests on a horizontal frictionless table. It is attached to a spring and set...
A block rests on a horizontal frictionless table. It is attached to a spring and set into motion. Consider what will happen to the frequency or period in each of the following situations. (increase, decrease, or stay the same) If the spring constant is cut in half (looser spring), the frequency will _______. If the spring constant is cut in half (looser spring), the period will _______. If the amplitude of the motion is doubled, the frequency will ______. If...
Consider a block-spring system as shown in the figure. The block is attached to the spring,...
Consider a block-spring system as shown in the figure. The block is attached to the spring, which is attached to the inside wall of the box. The mass of the block is 0.2kg. Suppose you pull the block 10cm to the right and release it. The angular frequency for it to oscillate is 30 rad/s. Neglect friction between the block and the bottom of the box. (a)What is the spring constant of the spring? (b)What will be the amplitude of...
A block with a mass M is attached to a horizontal spring with a spring constant...
A block with a mass M is attached to a horizontal spring with a spring constant k. Then attached to this block is a pendulum with a very light string holding a mass m attached to it. What are the two equations of motion? (b) What would these equations be if we assumed small x and φ? (Do note that these equations will turn out a little messy, and in fact, the two equations involve both variables (i.e. they are...
A block with a mass of 0.488 kg is attached to a spring of spring constant...
A block with a mass of 0.488 kg is attached to a spring of spring constant 428 N/m. It is sitting at equilibrium. You then pull the block down 5.10 cm from equilibrium and let go. What is the amplitude of the oscillation? A block with a mass of 0.976 kg is attached to a spring of spring constant 428 N/m. It is sitting at equilibrium. You then pull the block down 5.10 cm from equilibrium and let go. What...
A 10 kg block on a horizontal surface is attached to a horizontal spring of spring...
A 10 kg block on a horizontal surface is attached to a horizontal spring of spring constant k = 4.4 kN/m. The block is pulled to the right so that the spring is stretched 5.8 cm beyond its relaxed length, and the block is then released from rest. The frictional force between the sliding block and the surface has a magnitude of 38 N. (a) What is the kinetic energy of the block when it has moved 2.2 cm from...
A 28 kg block on a horizontal surface is attached to a horizontal spring of spring...
A 28 kg block on a horizontal surface is attached to a horizontal spring of spring constant k = 2.9 kN/m. The block is pulled to the right so that the spring is stretched 8.4 cm beyond its relaxed length, and the block is then released from rest. The frictional force between the sliding block and the surface has a magnitude of 37 N. (a) What is the kinetic energy of the block when it has moved 2.7 cm from...
A block of mass m = 2.5 kg is attached to a spring with spring constant...
A block of mass m = 2.5 kg is attached to a spring with spring constant k = 640 N/m. It is initially at rest on an inclined plane that is at an angle of θ = 27° with respect to the horizontal, and the coefficient of kinetic friction between the block and the plane is μk = 0.11. In the initial position, where the spring is compressed by a distance of d = 0.19 m, the mass is at...
A block of mass m = 2.6kg is attached to a single spring of spring constant...
A block of mass m = 2.6kg is attached to a single spring of spring constant k = 4.4Nmand allowed to oscillate on a horizontal, frictionless surface while restricted to move in the x-direction. The equilibrium position of the block is x=0m. At time t=0s the mass is at position x=2.7m and moving with x-component of velocity vx=−6.8ms. What is the x-component of velocity at time t=1.3s? Answer in meters per second.
A spring is attached to an inclined plane as shown in the figure. A block of...
A spring is attached to an inclined plane as shown in the figure. A block of mass m = 2.75 kg is placed on the incline at a distance d = 0.294 m along the incline from the end of the spring. The block is given a quick shove and moves down the incline with an initial speed v = 0.750 m/s. The incline angle is θ = 20.0°, the spring constant is k = 450 N/m, and we can...
A 5 kg block is attached to a horizontally-mounted spring with a spring constant of 600...
A 5 kg block is attached to a horizontally-mounted spring with a spring constant of 600 J/m2. The spring is extended by 10 cm from its normal length and the block is then released with an additional pull that imparts an initial velocity of 50 cm/s. The angular velocity (in rad/s) is A rad/s. The phase shift or off set (in degrees) is B degrees. The amplitude (in cm) is C cm. Please highlight where the given mass, spring constant,...
ADVERTISEMENT
ADVERTISEMENT
ADVERTISEMENT