Question

In: Physics

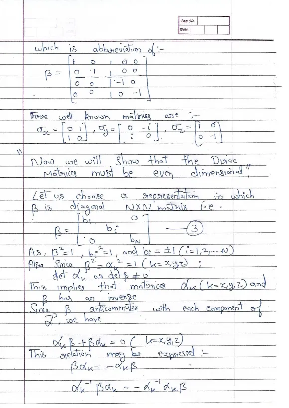
Show that in Dirac's equation, matrices have dimensions of 4n, where n= 1, 2, 3...

Show that in Dirac's equation, matrices have dimensions of 4n, where n= 1, 2, 3...

Solutions

Expert Solution


Related Solutions

1. Prove or Disprove: If n is a nonnegative integer, then 5 | (2*4n + 3*9n)
1. Prove or Disprove: If n is a nonnegative integer, then 5 | (2*4n + 3*9n)
1. Use the ę notation to prove the following limits: lim n→∞ [n^2+ 3ncos(2n+1)+2] / [n^2−nsin(4n+3)+4]...
1. Use the ę notation to prove the following limits: lim n→∞ [n^2+ 3ncos(2n+1)+2] / [n^2−nsin(4n+3)+4] = 1 2. Let {an} a sequence converging to L > 0. Show ∃N ∈ N, ∀n ∈ N, n ≥ N, an > 0 3.Let {an} a sequence converging to L. Let {bn} a sequence such that ∃Nb ∈ N, ∀n ∈ N, n ≥ Nb, an = bn. Show that {bn} converges to L as well. Thank you. Please complete proofs fully.
Suppose A=(7B^n)/(CD), where A has dimensions [T]/[L]^3, B has dimensions [T], C has dimensions [T][M]^2, and...
Suppose A=(7B^n)/(CD), where A has dimensions [T]/[L]^3, B has dimensions [T], C has dimensions [T][M]^2, and D has dimensions [L]^3/[M]^2. Using dimensional analysis, find the value of the exponent n.
Show that (a)Sn=<(1 2),(1 3),……(1 n)>. (b)Sn=<(1 2),(2 3),……(n-1 n)> (c)Sn=<(1 2),(1 2 …… n-1 n)>
Show that (a)Sn=<(1 2),(1 3),……(1 n)>. (b)Sn=<(1 2),(2 3),……(n-1 n)> (c)Sn=<(1 2),(1 2 …… n-1 n)>
Derive the Dirac gamma matrices for 2-space dimensions and 1-time dimension.
Derive the Dirac gamma matrices for 2-space dimensions and 1-time dimension.
Show that two m×n matrices are equivalent if and only if they have the same invariant...
Show that two m×n matrices are equivalent if and only if they have the same invariant factors, i.e. (by Problem 4), if and only if they have the same Smith normal form.
(a) Find the limit of {(1/(n^(3/2)))-(3/n)+2} and use an epsilon, N argument to show that this...
(a) Find the limit of {(1/(n^(3/2)))-(3/n)+2} and use an epsilon, N argument to show that this is indeed the correct limit. (b) Use an epsilon, N argument to show that {1/(n^(1/2))} converges to 0. (c) Let k be a positive integer. Use an epsilon, N argument to show that {a/(n^(1/k))} converges to 0. (d) Show that if {Xn} converges to x, then the sequence {Xn^3} converges to x^3. This has to be an epsilon, N argument [Hint: Use the difference...
series from n=1 to infinity of (4n) / [ (3n^3/2) +7n -9]. the answer should include...
series from n=1 to infinity of (4n) / [ (3n^3/2) +7n -9]. the answer should include if its converging or diverging by which method
1) Solve the Laplace equation ∇^2(u)=0 (two dimensions so ∂^2/∂a^2 + ∂^2/∂b^2) where the boundaries of...
1) Solve the Laplace equation ∇^2(u)=0 (two dimensions so ∂^2/∂a^2 + ∂^2/∂b^2) where the boundaries of the rectangle are 0 < a < m, 0 < b < n with the boundary conditions: u(a,0) = 0 u(a,n) = 0 u(0,b) = 0 u(m,b)= b^2
(a) The n × n matrices A, B, C, and X satisfy the equation AX(B +...
(a) The n × n matrices A, B, C, and X satisfy the equation AX(B + CX) ?1 = C Write an expression for the matrix X in terms of A, B, and C. You may assume invertibility of any matrix when necessary. (b) Suppose D is a 3 × 5 matrix, E is a 5 × c matrix, and F is a 4 × d matrix. Find the values of c and d for which the statement “det(DEF) =...
ADVERTISEMENT
ADVERTISEMENT
ADVERTISEMENT