Question

In: Physics

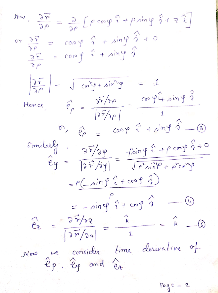
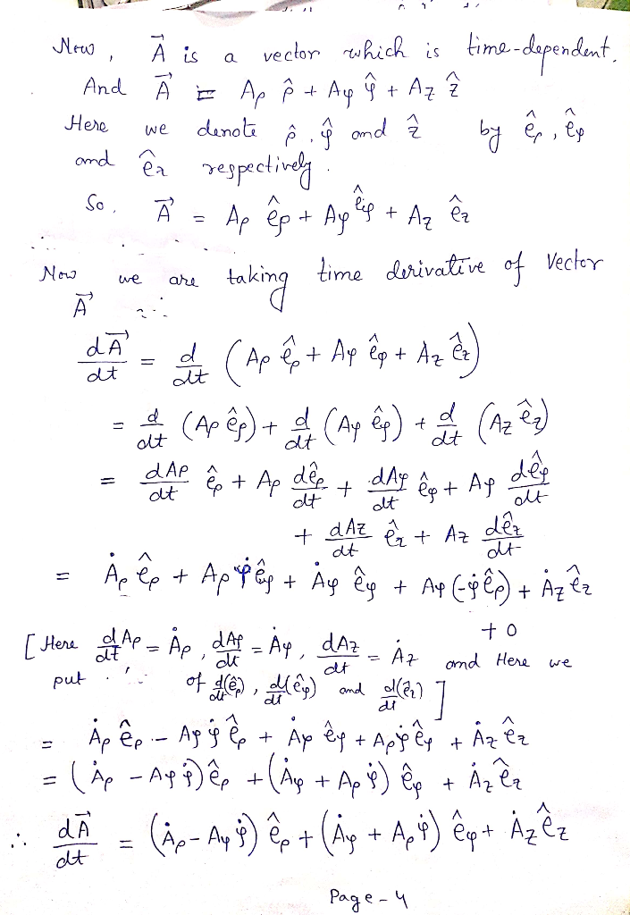
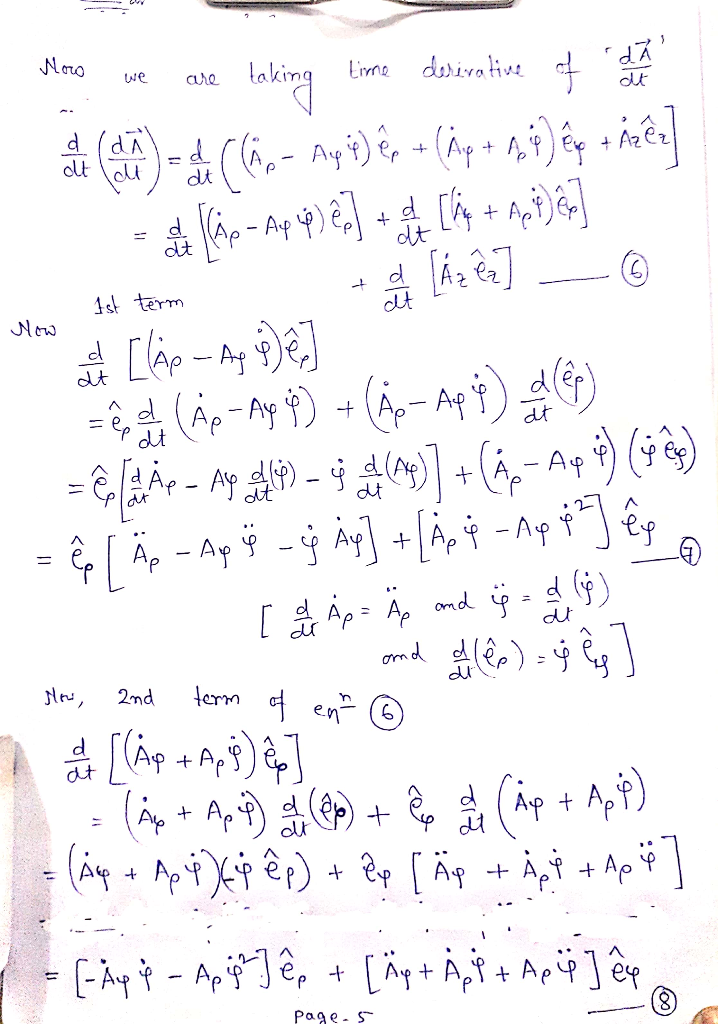
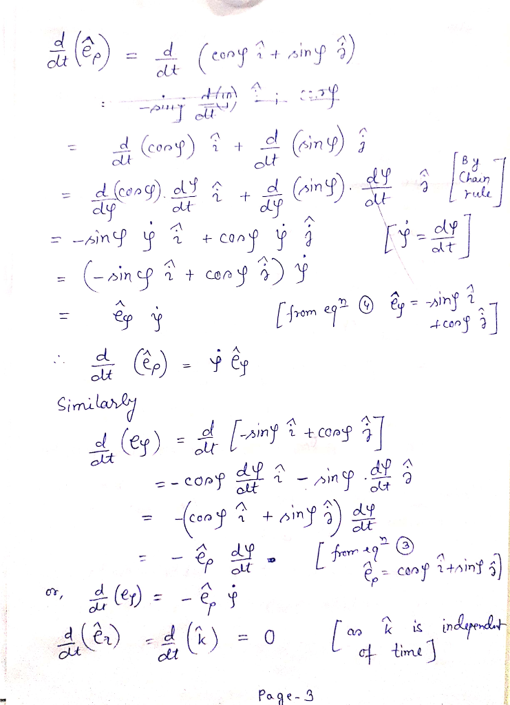
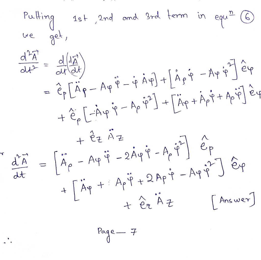
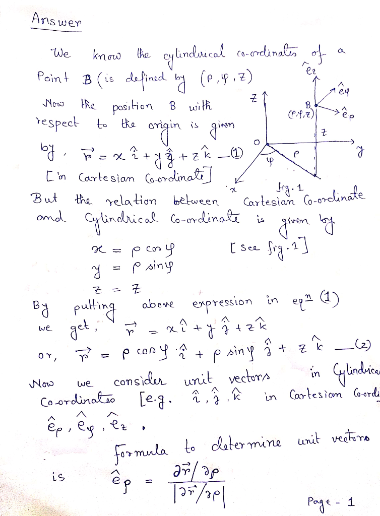
In cylindrical coordinates, vector A is given as; A = Aρρ + Aφφ + Azz ....

In cylindrical coordinates, vector A is given as;

A = Aρρ + Aφφ + Azz .

Vector A is a time-dependent function.

Find the components of d2A / dt2 .

Solutions

Expert Solution


Related Solutions

The unit vector (in cylindrical coordinates) parallel to the z-axis at Q (r = 5, θ...
The unit vector (in cylindrical coordinates) parallel to the z-axis at Q (r = 5, θ = π/2, ϕ =1.5π) is
  The stream function in cylindrical coordinates for a two-dimensional flow is given by:                          &nbsp
  The stream function in cylindrical coordinates for a two-dimensional flow is given by:                                     Ψ = [(a)(r) + (b)/(r)] Sin ϴ Where “a” and “b” are constants. a)Does this flow satisfy the continuity? b)Determine the corresponding velocity potential in the polar coordinate system. c) Is this flow irrotational? Why?
Derive the del operator in cylindrical coordinates by converting the del operator in Cartesian coordinates into...
Derive the del operator in cylindrical coordinates by converting the del operator in Cartesian coordinates into thr del operator in cylindrical coordinates.
a) Given a vector field à = zỹ +(3y + 2)2 î in cartesian coordinates, determine...
a) Given a vector field à = zỹ +(3y + 2)2 î in cartesian coordinates, determine whether it is solenoidal (V · À = 0), conservative (D x X = 0) I Div x A (Cylinderical Coordinates) ii) Calculate integral A*dl , where the contour C is the unit circle (r=1) traversed in anticlockwise direction
1.) Convert the following from rectangular coordinates to cylindrical coordinates. Write your angles in degrees rounded...
1.) Convert the following from rectangular coordinates to cylindrical coordinates. Write your angles in degrees rounded to one decimal point (3, -7, 4) 2.) Convert the following from rectangular coordinates to spherical coordinates. Write your angles in degrees rounded to one decimal point (3, -7, 4) 3.) Convert the following from cylindrical to rectangular coordinates. Round your answer to one decimal place. (3, 20o, -4) 4.) Convert the following from sphereical to rectangular coordinates. Round your answer to one decimal...
Starting from the general expression of the Navier-Stokes equations in cylindrical coordinates, provide the form of...
Starting from the general expression of the Navier-Stokes equations in cylindrical coordinates, provide the form of the equations for an axisymmetric, steady flow. Explicitly write down the continuity equation as well as the momentum equation in all relevant directions in terms of partial derivatives. (Hint: How much is uθ for this flow? Explain why. How much is ∂/∂θ ? IMPORTANT NOTE: Please have the answer complete, clear and computer generated!!
The following charges exist (given coordinates are (x, y) coordinates in the plane of the page):
  The following charges exist (given coordinates are (x, y) coordinates in the plane of the page): • a −3.0 µC point charge located at (0, 0) • a −2.0 µC uniform spherical shell of charge of radius 3.0 cm centered at (+4.0 cm, 0) • a +2.0 µC uniform spherical shell of charge of radius 2.0 cm centered at (0, −4.0 cm) • a +4.0 µC uniform spherical shell of charge of radius 4.0 cm centered at (−1.0 cm,...
Plot the point whose polar coordinates are given. Then find the Cartesian coordinates of the point...
Plot the point whose polar coordinates are given. Then find the Cartesian coordinates of the point b. (2, π/4) c.(−3, −π/6)
Use cylindrical or spherical coordinates, whichever seems more appropriate. Find the volume of the smaller wedge...
Use cylindrical or spherical coordinates, whichever seems more appropriate. Find the volume of the smaller wedge cut from a sphere of radius 2 by two planes that intersect along a diameter at an angle of ?/2.
Consider an incompressible flow in cylindrical coordinates with velocity field v = Cr^(a) θ^ where C...
Consider an incompressible flow in cylindrical coordinates with velocity field v = Cr^(a) θ^ where C is a constant (a) Show that the flow satisfies the Navier-Stokes equations for only two values of a. (b) Given that p(r; θ; z) = p(r) only, and neglecting gravity, find the pressure distribution for each case, assuming that the pressure at r = R is p0
ADVERTISEMENT
ADVERTISEMENT
ADVERTISEMENT