Question

In: Physics

An ion can produce an emission spectrum according to the Bohr model. A group of lines...

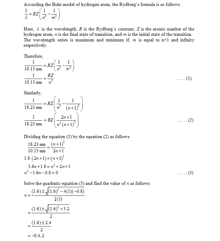
An ion can produce an emission spectrum according to the Bohr model. A group of lines in the spectrum forms a series with wavelength between 10.13 nm and 18.23 nm. What is the shortest wavelength in the next series from the same ion?

______ nm

Solutions

Expert Solution


Related Solutions

Should the Bohr model predict the correct emission lines for the He+ ion ? Why or why not?
Should the Bohr model predict the correct emission lines for the He+ ion ? Why or why not? Use the Bohr model to predict some of the visible emission lines of the He+ ion. Hints: see your text for the correct equation concerning the energies of the Bohr model orbits which includes the nuclear charge Z. Then calculate the wavelengths in nm corresponding to the transitions n=4→3, and n=6→4. Can either of these be observed in your He emission spectrum?
Which spectral lines in the emission spectrum of hydrogen atoms can be observed if the atoms...
Which spectral lines in the emission spectrum of hydrogen atoms can be observed if the atoms are excited by electrons with kinetic energy E_kin = 13.3eV?
three of the strongest lines in the He+ ion spectrum are observed at the following wavelengths:...
three of the strongest lines in the He+ ion spectrum are observed at the following wavelengths: (1) 121.57 nm (2) 164.12 nm (3) 25.64 nm. Find the quantum numbers of the initial and final states for the transitions that give rise to the these three lines. Use equation 4, the wavelengths of lines that can originate from transitions involving any two of the four lowest levels. Equation 4: delta E = E(upper) - E(lower) = (1.119627 x 10^5 kJ/mole) /...
Use the Bohr model to calculate the radius, in angstroms, of an He+ ion with an...
Use the Bohr model to calculate the radius, in angstroms, of an He+ ion with an electron in the n=4 state. r= Ã… Calculate the energy, in joules, of an He+ ion with an electron in the n=4 state. E= J How much energy would be required to completely remove the electrons from 1.48 mol of He+ ions in the n=4 state? energy to remove electrons: J What wavelength of light would be emitted in a transition from the n=4n=4...
In the Bohr model, the Paschen series of spectral lines is caused by radiation absorbed or...
In the Bohr model, the Paschen series of spectral lines is caused by radiation absorbed or emitted as an electron transitions between the 2nd excited state and any higher excited state (3rd excited state and higher) of the hydrogen atom. The Paschen series spectral lines all involve infrared photons. a) Using the Bohr model, calculate the energy of the electron when it is in the 2nd excited state, in units of electron-Volts (eV). b) Calculate the energy of the electron...
1.Answer the following questions A) Describe how the molecules in a gas produce an emission spectrum....
1.Answer the following questions A) Describe how the molecules in a gas produce an emission spectrum. How is this useful in astronomy if we assume that the laws of physics are the same everywhere? B) Why was the uniform expansion model adopted? How does this lead to a necessary differentiation between classical and cosmological redshift
Draw a sketch for the Hydrogen (discrete) spectrum, labeling the lines according to their respective quantum...
Draw a sketch for the Hydrogen (discrete) spectrum, labeling the lines according to their respective quantum transitions. Also point out in which direction the wavelength increases.
A hydrogen atom has an angular momentum of According to the Bohr model, determine: A) The...
A hydrogen atom has an angular momentum of According to the Bohr model, determine: A) The number of the orbit (main quantum number) B) The energy (eV) associated with this state. C) The radius of this orbit. D) The speed of the electron associated with this orbit. e) If a transition occurs from this state to the base state (n = 1), what is the energy that the photon has during the transition? f)). What is the wavelength of the...
Self-test 9A.3 The emission spectrum of atomic deuterium shows lines at 15 238, 20 571, 23...
Self-test 9A.3 The emission spectrum of atomic deuterium shows lines at 15 238, 20 571, 23 039, and 24 380 cm−1, which correspond to transitions to the same lower state. Determine (a) the ionization energy of the lower state, (b) the ionization energy of the ground state, (c) the mass of the deuteron (by expressing the Rydberg constant in terms of the reduced mass of the electron and the deuteron, and solving for the mass of the deuteron). Answer: (a)...
Can someone explain to me Bohr's model of hydrogen and Bohr Selection Rule
Can someone explain to me Bohr's model of hydrogen and Bohr Selection Rule
ADVERTISEMENT
ADVERTISEMENT
ADVERTISEMENT