Question

In: Statistics and Probability

The state of California has a mean annual rainfall of 22 inches, whereas the state of New York has a mean annual rainfall of 42 inches.

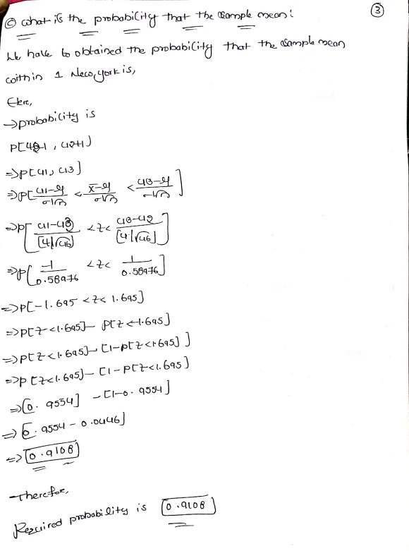
The state of California has a mean annual rainfall of 22 inches, whereas the state of New York has a mean annual rainfall of 42 inches. Assume that the standard deviation for both states is 4 inches. A sample of 33 years of rainfall for California and a sample of 46 years of rainfall for New York has been taken. (a) Show the probability distribution of the sample mean annual rainfall for California. A bell-shaped curve is above a horizontal axis labeled inches. The horizontal axis ranges from about −2.1 to about 2.1. The curve enters the viewing window near −2.1 just above the horizontal axis, curves up to the right, and reaches a maximum near 0. The curve then curves down and to the right until it leaves the viewing window at the same height it entered near 2.1. A bell-shaped curve is above a horizontal axis labeled inches. The horizontal axis ranges from about 39.9 to about 44.1. The curve enters the viewing window near 39.9 just above the horizontal axis, curves up to the right, and reaches a maximum near 42. The curve then curves down and to the right until it leaves the viewing window at the same height it entered near 44.1. A bell-shaped curve is above a horizontal axis labeled inches. The horizontal axis ranges from about 10 to about 34. The curve enters the viewing window near 10 just above the horizontal axis, curves up to the right, and reaches a maximum near 22. The curve then curves down and to the right until it leaves the viewing window at the same height it entered near 34. A bell-shaped curve is above a horizontal axis labeled inches. The horizontal axis ranges from about 19.9 to about 24.1. The curve enters the viewing window near 19.9 just above the horizontal axis, curves up to the right, and reaches a maximum near 22. The curve then curves down and to the right until it leaves the viewing window at the same height it entered near 24.1. Correct: Your answer is correct. (b) What is the probability that the sample mean is within 1 inch of the population mean for California? (Round your answer to four decimal places.) Incorrect: Your answer is incorrect. (c) What is the probability that the sample mean is within 1 inch of the population mean for New York? (Round your answer to four decimal places.) Incorrect: Your answer is incorrect. (d) In which case, part (b) or part (c), is the probability of obtaining a sample mean within 1 inch of the population mean greater? Why? part (b), because the standard error is smaller part (c), because the population standard deviation is smaller part (b), because the population standard deviation is smaller part (c), because the sample size is larger Correct: Your answer is correct.

Solutions

Expert Solution


Related Solutions

The state of California has a mean annual rainfall of 22 inches, whereas the state of New York has a mean annual rainfall of 42 inches.
  The state of California has a mean annual rainfall of 22 inches, whereas the state of New York has a mean annual rainfall of 42 inches. Assume that the standard deviation for both states is 4 inches. A sample of 34 years of rainfall for California and a sample of 46 years of rainfall for New York has been taken. (a) Show the probability distribution of the sample mean annual rainfall for California. A bell-shaped curve is above a...
The state of California has a mean annual rainfall of 23 inches, whereas the state of...
The state of California has a mean annual rainfall of 23 inches, whereas the state of New York has a mean annual rainfall of 53 inches ( Current Results website, October 27,2012). Assume that the standard deviation for both states is 2 inches. A sample of 30 years of rainfall for California and a sample of 45 years of rainfall for New York has been taken. a. Show the probability distribution of the sample mean annual rainfall for California. b....
The state of California has a mean annual rainfall of 27.6 inches, whereas the state of...
The state of California has a mean annual rainfall of 27.6 inches, whereas the state of New York has a mean annual rainfall of 44.5 inches. Assume the standard deviation for California is 6.3 inches and for New York is 8.2 inches. Find the probability that, for a sample of 40 years of rainfall for California, the mean annual rainfall is at least 29 inches.
The state of California has a mean annual rainfall of 27.6 inches, whereas the state of...
The state of California has a mean annual rainfall of 27.6 inches, whereas the state of New York has a mean annual rainfall of 48.7 inches. Assume the standard deviation for California is 7.4 inches and for New York is 3.1 inches. Find the probability that, for a sample of 45 years of rainfall for California, the mean annual rainfall is at least 29 inches.
According to the Current Results website, the state of California has a mean annual rainfall of...
According to the Current Results website, the state of California has a mean annual rainfall of 25 inches, whereas the state of New York has a mean annual rainfall of 52 inches. Assume that the standard deviation for both states is 3 inches. A sample of 30 years of rainfall for California and a sample of 45 years of rainfall for New York has been taken. Use z-table. a. Show the probability distribution of the sample mean annual rainfall for...
According to the Current Results website, the state of California has a mean annual rainfall of...
According to the Current Results website, the state of California has a mean annual rainfall of 19 inches, whereas the state of New York has a mean annual rainfall of 36 inches. Assume that the standard deviation for both states is 4 inches. A sample of 30 years of rainfall for California and a sample of 45 years of rainfall for New York has been taken. Use z-table. a. Show the probability distribution of the sample mean annual rainfall for...
According to the Current Results website, the state of California has a mean annual rainfall of...
According to the Current Results website, the state of California has a mean annual rainfall of 20 inches, whereas the state of New York has a mean annual rainfall of 35 inches. Assume that the standard deviation for both states is 4 inches. A sample of 30 years of rainfall for California and a sample of 45 years of rainfall for New York has been taken. Use z-table. a. Show the probability distribution of the sample mean annual rainfall for...
According to the Current Results website, the state of California has a mean annual rainfall of...
According to the Current Results website, the state of California has a mean annual rainfall of 23 inches, whereas the state of New York has a mean annual rainfall of 45 inches. Assume that the standard deviation for both states is 3 inches. A sample of 30 years of rainfall for California and a sample of 45 years of rainfall for New York has been taken. Use z-table. a. Show the probability distribution of the sample mean annual rainfall for...
The annual rainfall in a certain region is approximately normally distributed with mean 41.2 inches and...
The annual rainfall in a certain region is approximately normally distributed with mean 41.2 inches and standard deviation 5.5 inches. Round answers to at least 4 decimal places. a) What is the probability that an annual rainfall of less than 44 inches? b) What is the probability that an annual rainfall of more than 39 inches? c) What is the probability that an annual rainfall of between 38 inches and 42 inches? d) What is the annual rainfall amount for...
The annual rainfall in a certain region is approximately normally distributed with mean 42.6 inches and...
The annual rainfall in a certain region is approximately normally distributed with mean 42.6 inches and standard deviation 5.8 inches. Round answers to the nearest tenth of a percent. a) What percentage of years will have an annual rainfall of less than 44 inches? % b) What percentage of years will have an annual rainfall of more than 40 inches? % c) What percentage of years will have an annual rainfall of between 38 inches and 43 inches?
ADVERTISEMENT
ADVERTISEMENT
ADVERTISEMENT