In: Finance
Net Present Value (NPV) Method for stand alone projects:
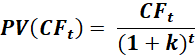
NPV method discounts all the future cash flows of the firm with the required rate of return (RRR) to obtain their present values. Present value of a future cash flow is that value of cash required today that will grow to the future value if invested at RRR. Hence, present value of a cash flow (CFt) in period t (years) from now at a RRR of k is given by,

The present values of all the future cash inflows are aggregated and netted against the present values of all the future cash outflows to obtain NPV.

Stand alone projects with normal or conventional cash flows have outflows, or costs, in the first year (or years) followed by a series of inflows. Stand alone projects with non-normal or non-conventional cash flows have one or more outflows after the inflow stream has begun. In case, the project involves just one cash outflow in t = 0 and cash inflows in subsequent year (normal or conventional project) then,

This can be interpreted as: A stand alone project’s NPV is the present value of the project’s future expected cash flows minus the proposal’s initial cash outflow.
The NPV rule:
|
Rules using NPV |
||||||||||||
|