Question

In: Physics

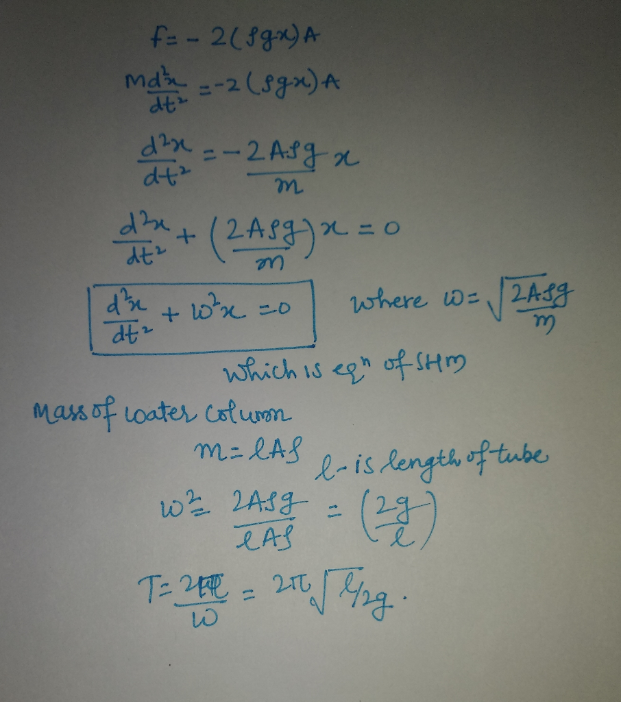
Describe how a pendulum and a mass on a horizontal spring satisfy those conditions (ignore any...

Describe how a pendulum and a mass on a horizontal spring satisfy those conditions (ignore any friction forces); also, include another example of a system that undergoes simple harmonic motion and discuss how it satisfies the conditions mentioned above.

Solutions

Expert Solution


Related Solutions

You are bringing a spring pendulum (i.e. a mass attached to a spring) and a regular...
You are bringing a spring pendulum (i.e. a mass attached to a spring) and a regular pendulum (think ball on a string) to the International Space Station. Because the ISS is in orbit around the Earth you (and everything else on board) experience apparent weightlessness. Under these conditions, which of the following statements is correct when you displace both pendulums from their respective equilibrium positions (ie try to make them oscillate): Group of answer choices The spring pendulum will oscillate....
There are two correct answers for this question: A simple pendulum and a spring-mass pendulum both...
There are two correct answers for this question: A simple pendulum and a spring-mass pendulum both have identical frequencies. Which changes will result in the spring-mass system having twice the period of the pendulum? a) Quadruple the mass of the simple pendulum b) Replace the spring with one half the spring constant and double the mass c) Make the string on the pendulum four times smaller and make the pendulum 4 times more massives d) Double the mass in the...
Compare and contrast a simple pendulum with a mass/spring pendulum. Be sure to address velocity, acceleration,...
Compare and contrast a simple pendulum with a mass/spring pendulum. Be sure to address velocity, acceleration, and energy conversions.
A block with a mass M is attached to a horizontal spring with a spring constant...
A block with a mass M is attached to a horizontal spring with a spring constant k. Then attached to this block is a pendulum with a very light string holding a mass m attached to it. What are the two equations of motion? (b) What would these equations be if we assumed small x and φ? (Do note that these equations will turn out a little messy, and in fact, the two equations involve both variables (i.e. they are...
A mass of 1.20 kg is attached to a horizontal spring with a spring constant of...
A mass of 1.20 kg is attached to a horizontal spring with a spring constant of 125 N/m. It is stretched to a length of 20.0 cm and released from rest. a) Write down an equation for the position and velocity of the block as a function of time. b) What is the maximum magnitude of acceleration that the block experiences? Is this consistent with Hooke’s Law? c) When the block is to the right of the equilibrium position with...
A vertical spring (ignore its mass), whose spring constant is 825 N/m , is attached to...
A vertical spring (ignore its mass), whose spring constant is 825 N/m , is attached to a table and is compressed down by 0.160 m. A)What upward speed can it give to a 0.360-kg ball when released? Express your answer to three significant figures and include the appropriate units. B) How high above its original position (spring compressed) will the ball fly? Express your answer to three significant figures and include the appropriate units.
A mass-spring system is in SHM in the horizontal direction. PART A If the mass is...
A mass-spring system is in SHM in the horizontal direction. PART A If the mass is 0.35 kg, the spring constant is 11 N/m , and the amplitude is 16 cm, what is the maximum speed of the mass? vmax = _____ m/s PART B Where does this occur? -at a half-amplitude position -at a third-amplitude position -at a quarter-amplitude position -at the equilibrium position PART C What is the speed at a half-amplitude position? v = _____ m/s
In a horizontal spring-mass configuration, the position of the 0.44 kg mass is described by [x...
In a horizontal spring-mass configuration, the position of the 0.44 kg mass is described by [x = (0.49 m) sin(2.39t)] a) What is in meters the amplitude of these oscillations? b) What is in m/s the maximum speed of the mass under these conditions? c) What is in Joules the spring potential energy stored in this system when the spring is stretched at a maximum? d) What is in Joules the kinetic energy of the mass when the spring is...
A block with a mass of 2.00 kg is attached to a spring, undergoing a horizontal...
A block with a mass of 2.00 kg is attached to a spring, undergoing a horizontal simple harmonic motion with a period of 1.26 s. The initial speed of the block is 1.20 m/s when the spring is stretched by 25.0 cm. Let x = 0 at the equilibrium position. Ignore friction. a)Find the spring constant. b)Find the total energy of this object. c)Find the maximum displacement of the motion. d)Find the maximum speed. e)For the block, at what position...
A block with mass 5 kg is attached to the end of a horizontal spring with...
A block with mass 5 kg is attached to the end of a horizontal spring with spring constant 200N/m. The other end of the spring is attached to a wall. The spring is stretched 10cm in the positive directions from its equilibrium length. Assume that the block is resting on a frictionless surface. A) When the spring is fully stretched, what is the magnitude of the force from the spring on the block? B) We then release the block, letting...
ADVERTISEMENT
ADVERTISEMENT
ADVERTISEMENT