Question

In: Physics

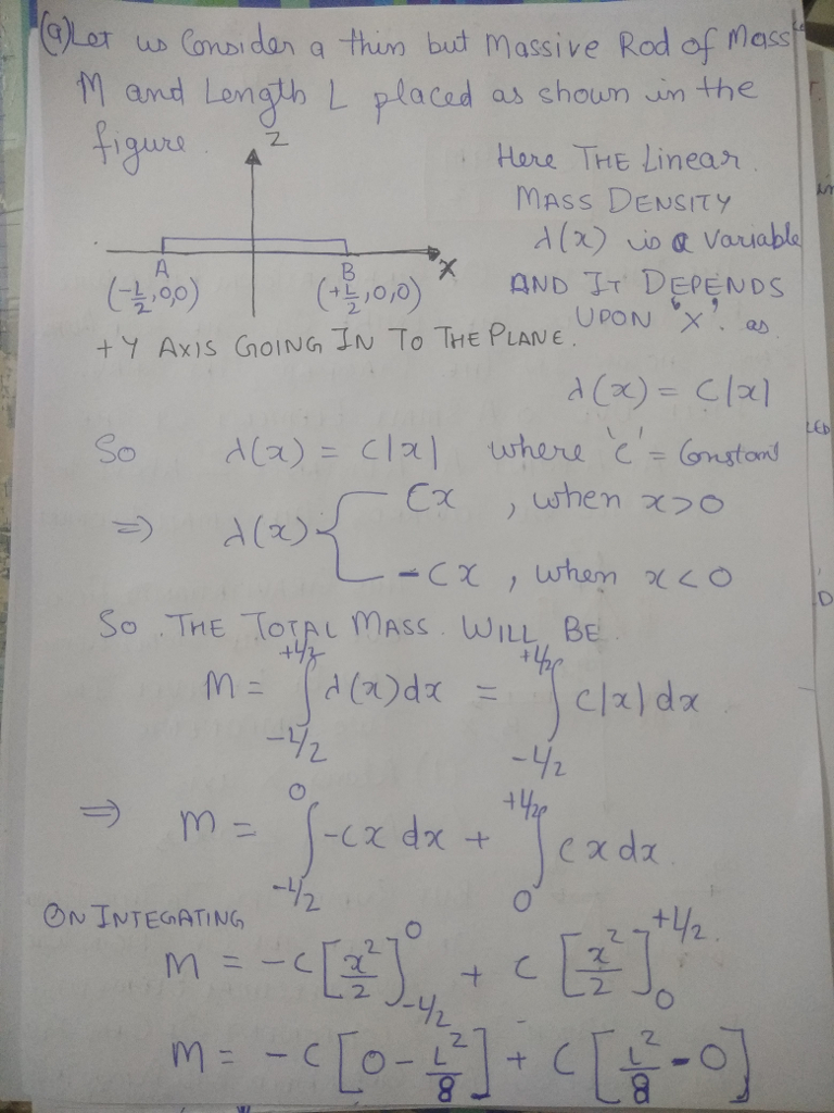
3) Consider a very (infinitesimally!) thin but massive rod, length L (total mass M), centered around...

3) Consider a very (infinitesimally!) thin but massive rod, length L (total mass M), centered around the origin, sitting along the x-axis. (So the left end is at (-L/2, 0,0) and the right end is at (+L/2,0,0) Assume the mass density λ (which has units of kg/m) is not uniform, but instead varies linearly with distance from the origin, λ(x) = c|x|.

d. In the limit of large z what do you expect for the functional form for gravitational potential? (Hint: Don’t just say it goes to zero! It’s a rod of mass M, when you’re far away what does it look like? How does it go to zero?) What does “large z” mean here? Use the binomial (or Taylor) expansion to verify that your formula does indeed give exactly what you expect. (Hint: you cannot Taylor expand in something BIG, you have to Taylor expand in something small.)

e. Can you use Gauss’ law to figure out the gravitational potential at the point (0, 0, z)? (If so, do it and check your previous answers. If not, why not?)

Solutions

Expert Solution


Related Solutions

A uniform thin rod of length 0.4 m and mass 0.5 kg can rotate in a...
A uniform thin rod of length 0.4 m and mass 0.5 kg can rotate in a horizontal plane about a vertical axis on the left end of the rod. The rod is at rest when a 10.0-g bullet traveling in the horizontal plane of the rod is fired into the right end of the rod at an angle 90o with the rod. The bullet lodges in the rod and the angular velocity of the rod is 10 rad/s immediately after...
Attached to each end of a thin steel rod of length 1.10 m and mass 6.60...
Attached to each end of a thin steel rod of length 1.10 m and mass 6.60 kg is a small ball of mass 1.07 kg. The rod is constrained to rotate in a horizontal plane about a vertical axis through its midpoint. At a certain instant, it is rotating at 39.0 rev/s. Because of friction, it slows to a stop in 32.0 s. Assuming a constant retarding torque due to friction, find the following. A) Angular Acceleration rad/sec^2 B) Retarding...
A ballistic pendulum consists of a thin rod AB (length = 2.0 m; mass = 1.14...
A ballistic pendulum consists of a thin rod AB (length = 2.0 m; mass = 1.14 kg) that is rigidly attached to a solid sphere that has a center C, radius = 0.4 m, and mass = 2.45 kg. A bullet (mass = 0.01 kg) is fired at point C with a speed of 675 m/s. Determine the amount of kinetic energy lost by the system due to the impact.
A rod of length L has a charge per unit length λ. The rod rotates around...
A rod of length L has a charge per unit length λ. The rod rotates around its center at angular frequency ω. Using the dipole approximation, find the power radiated by the rotating rod.
A thin copper rod has a mass per unit length of 0.1 kg/m. What is the...
A thin copper rod has a mass per unit length of 0.1 kg/m. What is the minimum current in the rod that would allow it to levitate above the ground in a magnetic field of magnitude 0.5 T? (g = 10.0 m/s2) 2.9 A 2.5 A 2.2 A 2.0 A 1.8 A
A thin rod (mass 8.28 kg, length 8.04 m) is sitting on a horizontal, frictionless table....
A thin rod (mass 8.28 kg, length 8.04 m) is sitting on a horizontal, frictionless table. There is a 0.626 kg frog sitting on the very end of the rod; you can treat the frog as a point particle. Suddenly the frog jumps off at speed 4.75 m/s, moving horizontally and perpendicular to the rod. Find ω, the angular speed of the rod after the frog jumps off, in rad/s.
A thin, uniform bar of length L and mass M is suspended horizontally at rest. It...
A thin, uniform bar of length L and mass M is suspended horizontally at rest. It is suddenly released and, at the same instant, it is struck a sharp blow vertically upwards at one end – the duration of the impulse is negligibly short. (a) Explain the meaning of the equation Fnet = Macom (com stands for center of mass). If we call z the vertical direction, write an equation for zCOM(t), draw a sketch of zCOM(t) vs t, and...
A rope of length L = 5.3 m with a total mass of m = 0.298...
A rope of length L = 5.3 m with a total mass of m = 0.298 kg is tied to a hook rigidly mounted into a wall. A pulse of height 1.4 cm is sent down the rope. The tension in the rope is F = 27 N. (A) Find the time between sending the pulse down the rope and detecting the pulse that returns. (B) What is the height of the pulse that returns?
A thin 1.5-m-long uniform rod with a total mass of 1650 g is suspended vertically at...
A thin 1.5-m-long uniform rod with a total mass of 1650 g is suspended vertically at the upper end. The moment of inertia of the rod in respect to the center of mass is mL2/12 (where L is the total length of the rod). A 12-g bullet is shot to the lower end of the rod and embeds there. The bullet speed before impact is 380 m/s. Calculate the amount of energy transferred to the heat during the collision.
Consider a simple plane pendulum of mass m and length l (the mass swings in a...
Consider a simple plane pendulum of mass m and length l (the mass swings in a vertical plane). After the pendulum is set into motion, the length of the string is decreased at a constant rate, ??/?? = −? = ?????. The suspension point remains fixed. (a) Compute the Lagrangian and Hamiltonian for the system. [4] (b) Compare the Hamiltonian and the total energy- is the energy conserved? Why/Why not? [2]
ADVERTISEMENT
ADVERTISEMENT
ADVERTISEMENT