Question

In: Chemistry

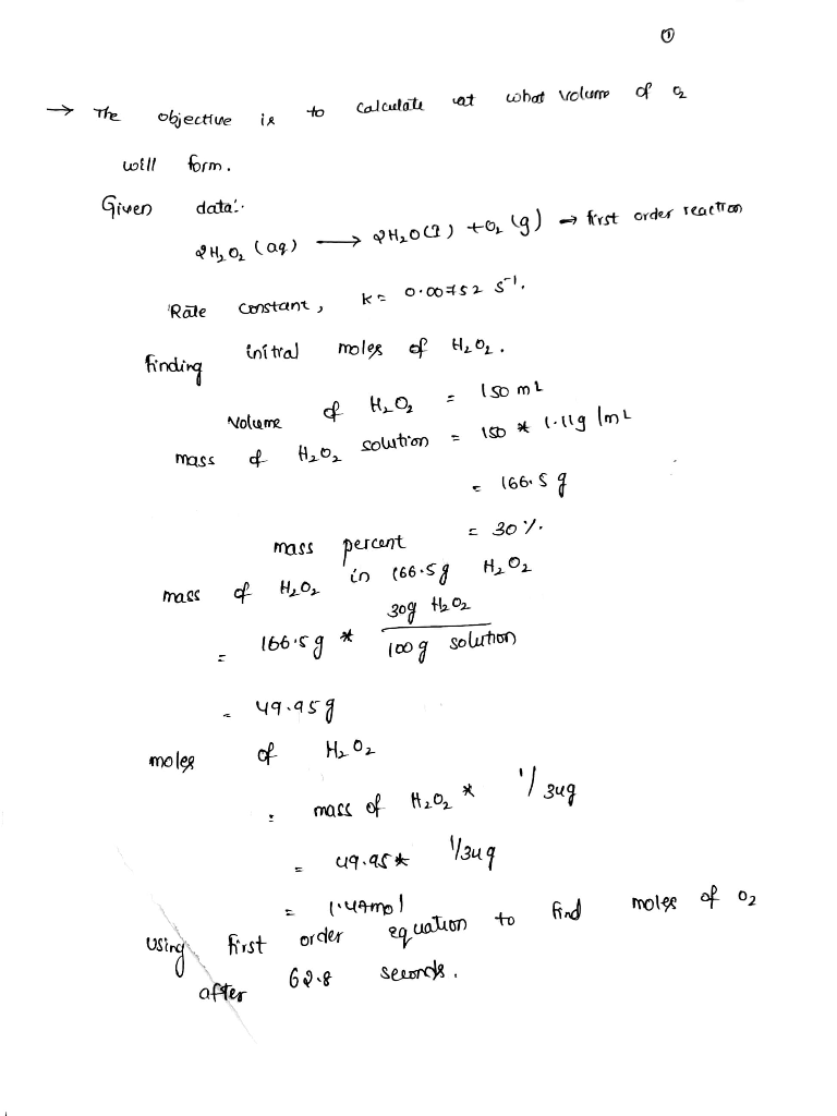
The reaction 2H2O2(aq)→2H2O(l)+O2(g)2H2O2(aq)→2H2O(l)+O2(g) is first order in H2O2H2O2 and under certain conditions has a rate constant...

The reaction 2H2O2(aq)→2H2O(l)+O2(g)2H2O2(aq)→2H2O(l)+O2(g) is first order in H2O2H2O2 and under certain conditions has a rate constant of 0.00752 s−1s−1 at 20.0 ∘C∘C. A reaction vessel initially contains 150.0 mLmL of 30.0% H2O2H2O2 by mass solution (the density of the solution is 1.11 g/mLg/mL). The gaseous oxygen is collected over water at 20.0 ∘C∘C as it forms.

What volume of O2O2 will form in 62.8 seconds at a barometric pressure of 773.0 mmHg . (The vapor pressure of water at this temperature is 17.5 mmHg)

Solutions

Expert Solution


Related Solutions

The reaction 2H2O2(aq)→2H2O(l)+O2(g)is first order in H2O2 and under certain conditions has a rate constant of...
The reaction 2H2O2(aq)→2H2O(l)+O2(g)is first order in H2O2 and under certain conditions has a rate constant of 0.00752 s−1 at 20.0 ∘C. A reaction vessel initially contains 150.0 mL of 30.0% H2O2 by mass solution (the density of the solution is 1.11 g/mL). The gaseous oxygen is collected over water at 20.0 ∘C as it forms. What volume of O2 will form in 80.9 seconds at a barometric pressure of 771.4 mmHg ? (The vapor pressure of water at this temperature...
CH 14 The reaction 2H2O2(aq)→2H2O(l)+O2(g) is first order in H2O2 and under certain conditions has a...
CH 14 The reaction 2H2O2(aq)→2H2O(l)+O2(g) is first order in H2O2 and under certain conditions has a rate constant of 0.00752 s−1 at 20.0 ∘C. A reaction vessel initially contains 150.0 mL of 30.0% H2O2 by mass solution (the density of the solution is 1.11 g/mL). The gaseous oxygen is collected over water at 20.0 ∘C as it forms. What volume of O2 will form in 83.2 seconds at a barometric pressure of 725.2 mmHg . (The vapor pressure of water...
Hydrogen peroxide, H2O2H2O2, is used to disinfect contact lenses. 2H2O2(aq)→2H2O(l)+O2(g)2H2O2(aq)→2H2O(l)+O2(g) You may want to reference (Page)...
Hydrogen peroxide, H2O2H2O2, is used to disinfect contact lenses. 2H2O2(aq)→2H2O(l)+O2(g)2H2O2(aq)→2H2O(l)+O2(g) You may want to reference (Page) Section 6.1 while completing this problem. Part A How many milliliters of O2(g)O2(g) at 27 ∘C∘C and 5.00 barrbarr can be liberated from 18.95 mLmL of an aqueous solution containing 3.00%% H2O2H2O2 by mass? The density of the aqueous solution of H2O2H2O2 is 1.01g/mLg/mL.
The reaction HCN (aq) + 2H2O (l) > NH4HCO2 (aq)   is first order, and it's rate...
The reaction HCN (aq) + 2H2O (l) > NH4HCO2 (aq)   is first order, and it's rate =k [HCN]. The rate constant k at 65°C is 8.06 ×10 -8 s-1. How long will it take for thr concentration of the HCN solution to drop from an initial 0.0800M to 0.0600M at this temperature? What is the half life of thr reaction
the reaction 2 h2o2(aq) -> 2 h2o(l) + o2(g) is first order in h2o2 and has...
the reaction 2 h2o2(aq) -> 2 h2o(l) + o2(g) is first order in h2o2 and has a rate constant of 0.00785 s- at 24C. a reation vessel contains 190ml of 25% h2o2 by mass solution (density of the solution is 1.09 g/ml). the gaseous oxygen is collected over water at 24Cas it forms. What volume of o2 forms in 146 seconds at a barometric pressure of 747.9 mmHg?
The reaction AB(aq)→A(g)+B(g) is second order in AB and has a rate constant of 0.0249 L⋅mol−1⋅s−1...
The reaction AB(aq)→A(g)+B(g) is second order in AB and has a rate constant of 0.0249 L⋅mol−1⋅s−1 at 25.0 ∘C. A reaction vessel initially contains 250.0 mL of 0.180 mol⋅L−1 AB which is allowed to react to form the gaseous product. The product is collected over water at 25.0 ∘C. Part A How much time is required to produce 270.0 mL of the products at a barometric pressure of 736.7 mmHg . (The vapor pressure of water at this temperature is...
answer both pls 1. Consider the following half-reaction. 4H+(aq) + O2(g) + 4e- → 2H2O(l)      Eo...
answer both pls 1. Consider the following half-reaction. 4H+(aq) + O2(g) + 4e- → 2H2O(l)      Eo = 1.23 V What is E, if the pressure of oxygen gas is 1.0 atmosphere and the pH is 2.92? USE 2 DECIMAL PLACES. (Hint, are solids and pure liquids included in Q? Using LeChatelier's principle is E going to be larger or smaller?) 2. Mg2C2O4(s) → 2Mg2+(aq) +C2O42-(aq) Ksp = 8.6 x 10-5 What is Qsp if 100 mL of 0.080 M Mg(N03)2...
1. One of the half-reactions for the electrolysis of water is 2H2O(l) →O2(g) + 4H+(aq) +...
1. One of the half-reactions for the electrolysis of water is 2H2O(l) →O2(g) + 4H+(aq) + 4e− If 0.992 L of O2 is collected at 25°C and 755 mmHg, how many faradays of electricity had to pass through the solution? 2. What is E°cell for the following reaction? 2 Ag(s) + Sn2+(aq) → 2 Ag+(aq) + Sn(s) Ag+(aq) + e– → Ag(s) E° = 0.80 V Sn4+(aq) + 2e– → Sn2+(aq) E° = 0.13 V Sn2+(aq) + 2e– → Sn(s)...
For the reaction NO + O3 → NO2 + O2 the second order rate constant has...
For the reaction NO + O3 → NO2 + O2 the second order rate constant has a value of 1.8x10^-14 molecule-1 cm3 s-1 at 25°C. The concentration of NO in a relatively clean atmosphere is 0.10 ppbv (parts per billion by volume) and that of O3 is 15 ppbv. Calculate these two concentrations in units of molecule cm-3. Calculate the rate of the NO oxidation using concentration units of molecule cm-3. Show how the rate law may be expressed in...
Consider the combustion of hydrochloric acid. 4 HCl (aq) + O2(g)  2H2O(l) + 2 Cl2(g)...
Consider the combustion of hydrochloric acid. 4 HCl (aq) + O2(g)  2H2O(l) + 2 Cl2(g) ΔHrxn = + 96.976 kJ/mol B.If you place 750 mL of 0.500 M solution of HCl with 17.2 g of O2, will any oxygen remain? (Hint: limiting reagent problem) C.What mass of chlorine gas (in grams) is produced? D) How many molecules of Cl2 are produced based on part (B) E) What mass of excess reagent remains after the limiting reagent is used up?...
ADVERTISEMENT
ADVERTISEMENT
ADVERTISEMENT