Question

In: Accounting

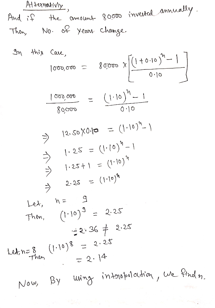
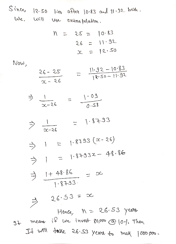
if you invest 80000 at 10 % rate how many years to get 1000000

if you invest 80000 at 10 % rate how many years to get 1000000

Solutions

Expert Solution


Related Solutions

You invest $12,000 now and get $14,000 back in 7 years. (A) What nominal interest rate...
You invest $12,000 now and get $14,000 back in 7 years. (A) What nominal interest rate convertible every four months did you earn? (B) What nominal discount rate compounded semi-annually did you earn? (C) What annual effective rate of discount did you earn?
If you invest $1,000 today at an interest rate of 10% per year, how much will...
If you invest $1,000 today at an interest rate of 10% per year, how much will you have 20 years from now, assuming no withdrawals in the interim? What is the present value of the following cash flows at an interest rate of 10% per year? $100 received five years from now. $100 received 60 years from now. $100 received each year beginning one year from now and ending 10 years from now. $100 received each year for 10 years...
How much must you invest now to have 350,000 in 15 years if the interest rate...
How much must you invest now to have 350,000 in 15 years if the interest rate is 10% and compounds continuously? $65,457.33 $66,666.67 $63,848.93 $56,666.67 None of these
You invest $10,000 at a 12 percent annual rate of return for 5 years. How much...
You invest $10,000 at a 12 percent annual rate of return for 5 years. How much additional interest will this investment provide if it pays interest compounded annually as opposed to simple interest? (Round to the nearest dollar)
If you invest $81,000 today at 10% interest for 19 years, you will have $_________ in...
If you invest $81,000 today at 10% interest for 19 years, you will have $_________ in 19 years. (Do not include the dollar signs ($). Round your answers to 2 decimal places. (e.g., 32.16))
Your investment account pays 8.2%, compounded annually. If you invest $5,000 today, how many years will...
Your investment account pays 8.2%, compounded annually. If you invest $5,000 today, how many years will it take for your investment to grow to $9,140.20? Select the correct answer. a. 9.15 b. 12.15 c. 7.65 d. 6.15 e. 10.65 One year ago Lerner and Luckmann Co. issued 15-year, noncallable, 8% annual coupon bonds at their par value of $1,000. Today, the market interest rate on these bonds is 5.5%. What is the current price of the bonds, given that they...
​​​​​​1. How many years left in “year-to-maturity” a 10-year bond outstanding with 10% annual coupon rate,$70...
​​​​​​1. How many years left in “year-to-maturity” a 10-year bond outstanding with 10% annual coupon rate,$70 in annual payment, $925.39 in its present value, and $1,000 in its future value A. 3 years B. 10 years C. 6 years D. 8 years E. 1 years 2. What is the present value of an outstanding T-bond with 8 years left in “year-to-maturity”, $1,000 future value, 3% annual coupon rate and $20 in annual payment? A. 892 B. 930 C. 1160 D...
How much money do you need to invest now, to have $50,000 in 10 years?  Assume an...
How much money do you need to invest now, to have $50,000 in 10 years?  Assume an APR of 4.5%.
You must make a payment of $1,000 in 10 years. To get the money for this...
You must make a payment of $1,000 in 10 years. To get the money for this payment, you will make 5 equal deposits, beginning today and for the following 4 quarters, in a bank that pays a nominal interest rate of 8% with quarterly compounding. How large must each of the 5 payments be?
How many years it will take Judy to accumulate $30,000 if she invest $25,869 at 2.5%...
How many years it will take Judy to accumulate $30,000 if she invest $25,869 at 2.5% rate?
ADVERTISEMENT
ADVERTISEMENT
ADVERTISEMENT