In: Physics
When a small object approaches a much more massive object, the smaller object can be tidally disrupted. The distance of the closest approach before being tidally disrupted is the Roche limit (recall lecture on rings of plan- ets). If the small object is a star and the large object is a supermassive black hole, the Roche limit is given by
rR= 2.4 * RS * (pBH/p*)^(1/3)
where RS is the Schwarzschild radius, ρ̄BH is the average density of the black hole and ρ̄∗ is the average density of the star.
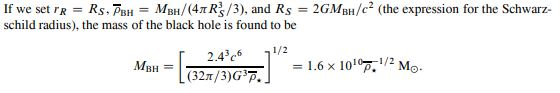
a) Setting the average density of the supermassive black hole equal to its mass divided by the volume contained within the Schwarzschild radius, derive an expression for the mass of a black hole as a function of ρ̄∗ that would have rR = RS.
b) If the Sun were to fall into a supermassive black hole, what maximum mass could the black hole have if the Sun would be tidally disrupted before crossing the event horizon (or RS). Compare your answer with typical supermassive black holes in the galactic nuclei.
c) If the mass of the supermassive black hole exceeded the mass found above, what would be the implication in terms of the energy release of the infalling star? Could infalling stars effectively power AGNs in this case?
Answer Explanation:



-----------------------------------------------------------------------------------------------------
Hope it helps!
Please Upvote life saver...
Thank you.