In: Statistics and Probability
Suppose a health expenditure function is specified in the following manner: ? = 500 + 0.2?, where E represents annual health care expenditures per capita and Y stands for income per capita.
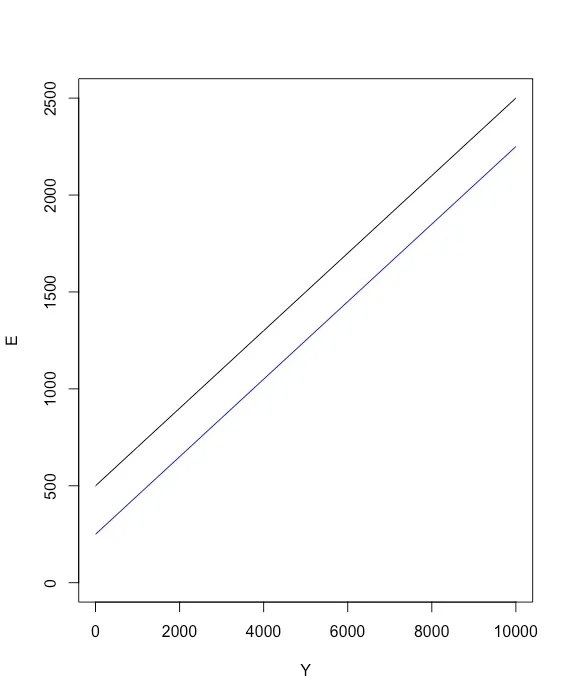
A. Graph the health care expenditure function.
B. What is the implication of the y-intercept? (provide the economic intuition not the mathematical definition)
C. Using the slope of the health expenditure function, predict the change in per capita health care expenditures that would result from a $1,000 increase in per capita income.
D. Assume the fixed amount of health care spending decreases to $250. Graph the new and original health functions on the same graph. What is the relation between the original and new health care expenditure functions?
E. Now assume that the fixed amount of health care spending remains at $500 but the slope parameter on income decreases to 0.1. Graph both the original and new health care expenditure functions. Explain the relation between the two lines.
A.

B.
The y-intercept is the fixed amount of health care spending .
C.
The slope of the health expenditure function is 0.2
The change in per capita health care expenditures that would result from a $1,000 increase in per capita income
= 0.2 * 1000
= $200
D.
The new health functions is shown in blue color.

The fixed amount of health care spending in new health care expenditure functions is $250 whereas the fixed amount of health care spending in old health care expenditure functions is $500.
The change in per capita health care expenditures that would result from a given increase in per capita income are equal for new and original health functions.
E.

The fixed amount of health care spending in new and original health care expenditure functions are equal to $500.
The change in per capita health care expenditures that would result from a given increase in per capita income in new health functions is half of that of original health functions. That is the annual health care expenditures per capita will increase at lower rate in new health functions.