Question

In: Physics

1.For a damped simple harmonic oscillator, the block has a mass of 2.3 kg and the...

1.For a damped simple harmonic oscillator, the block has a mass of 2.3 kg and the spring constant is 6.6 N/m. The damping force is given by -b(dx/dt), where b = 220 g/s. The block is pulled down 12.4 cm and released. (a) Calculate the time required for the amplitude of the resulting oscillations to fall to 1/8 of its initial value. (b) How many oscillations are made by the block in this time?

2.An oscillator consists of a block of mass 0.408 kg connected to a spring. When set into oscillation with amplitude 43 cm, the oscillator repeats its motion every 0.477 s. Find the (a) period, (b) frequency, (c) angular frequency, (d) spring constant, (e) maximum speed, and (f) magnitude of the maximum force on the block from the spring.

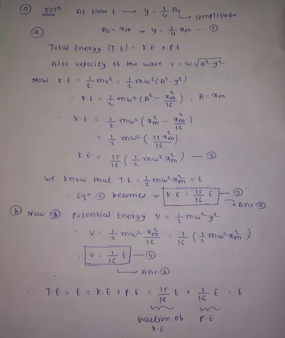
3.When the displacement in SHM is equal to 1/4 of the amplitude xm, what fraction of the total energy is (a) kinetic energy and (b) potential energy? (c) At what displacement, in terms of the amplitude, is the energy of the system half kinetic energy and half potential energy? (Give the ratio of the answer to the amplitude)

please help me all question thanks

Solutions

Expert Solution


Related Solutions

1. A simple harmonic oscillator consists of a block of mass 4.20 kg attached to a...
1. A simple harmonic oscillator consists of a block of mass 4.20 kg attached to a spring of spring constant 290 N/m. When t = 2.10 s, the position and velocity of the block are x = 0.141 m and v = 3.530 m/s. (a) What is the amplitude of the oscillations? What were the (b) position and (c) velocity of the block at t = 0 s? 2. If you took your pendulum to the moon, where the acceleration...
A simple harmonic oscillator consists of a block of mass 3.70 kg attached to a spring...
A simple harmonic oscillator consists of a block of mass 3.70 kg attached to a spring of spring constant 260 N/m. When t = 1.60 s, the position and velocity of the block are x = 0.199 m and v = 3.920 m/s. (a) What is the amplitude of the oscillations? What were the (b) position and (c) velocity of the block at t = 0 s?
A simple harmonic oscillator consists of a block of mass 3.4 kg attached to a spring...
A simple harmonic oscillator consists of a block of mass 3.4 kg attached to a spring of spring constant 120 N/m. When t = 0.84 s, the position and velocity of the block are x = 0.127 m and v = 3.23 m/s. (a) What is the amplitude of the oscillations? What were the (b) position and (c) velocity of the block at t = 0 s?
A simple harmonic oscillator consists of a 0.63 kg block attached to a spring (k =...
A simple harmonic oscillator consists of a 0.63 kg block attached to a spring (k = 190 N/m). The block slides on a horizontal frictionless surface about the equilibrium point x = 0 with a total mechanical energy of 6.0 J. (a) What is the amplitude of the oscillation? (b) How many oscillations does the block complete in 12 s? (c) What is the maximum kinetic energy attained by the block? (d) What is the speed of the block at...
(10pts) Consider the damped forced harmonic oscillator with mass 1 kg, damping coefficient 2, spring constant...
(10pts) Consider the damped forced harmonic oscillator with mass 1 kg, damping coefficient 2, spring constant 3, and external force in the form of an instantaneous hammer strike (Section 6.4) at time t = 4 seconds. The mass is initially displaced 2 meters in the positive direction and an initial velocity of 1 m/s is applied. Model this situation with an initial value problem and solve it using the method of Laplace transforms.
consider a linearly damped simple harmonic oscillator with mass m,restoring force contsant k and resistive force...
consider a linearly damped simple harmonic oscillator with mass m,restoring force contsant k and resistive force constant c.if c >sqrt(4mk), work out the expression for the displacement as a function of time and describe the predicted time dependence of the motion.
A damped oscillator is formed by attaching a mass with m = 1.5 kg to one...
A damped oscillator is formed by attaching a mass with m = 1.5 kg to one end of a spring with spring constant k = 8 N/m. The other end of the spring is anchored and the mass can slide on a horizontal surface The damping force is given by –bv with b = 230 g/s. At t=0, the mass is displaced so that the spring is compressed by 12 cm from its unstretched length and released from rest. (a)...
1. A damped driven harmonic oscillator with m=12 kg, k=280 N/m, and b=75 kg/sis subjected to...
1. A damped driven harmonic oscillator with m=12 kg, k=280 N/m, and b=75 kg/sis subjected to a driving force given by F(t) = F0cos(ωt), where F0=55 N. a) What value of ω results in steady-state oscillations with maximum amplitude? b) What is the maximum amplitude? c) What is the phase angle? 2. An undamped, driven harmonic oscillator satisfies the equation of motion where the driving force is switched on at t=0. a) Assuming a solution of the form x(t) =...
The displacement as a function of time of a 4.0kg mass spring simple harmonic oscillator is...
The displacement as a function of time of a 4.0kg mass spring simple harmonic oscillator is .   What is the displacement of the mass at 2.2 seconds? ___________m What is the spring constant? ___________________N/m What is the position of the object when the speed is maximum? ______________m What is the magnitude of the maximum velocity?____________________m/s
Please provide an example of a damped harmonic oscillator. They are more common than undamped or...
Please provide an example of a damped harmonic oscillator. They are more common than undamped or simple harmonic oscillators. What do you think there is any harmonic motion in the physical world that is not damped harmonic motion? Try to make a list of five examples of undamped harmonic motion and damped harmonic motion. Which list was easier to make? Why are the group of the peoples in general ordered to “route step” (walk out of step) across a bridge?
ADVERTISEMENT
ADVERTISEMENT
ADVERTISEMENT