Question

In: Economics

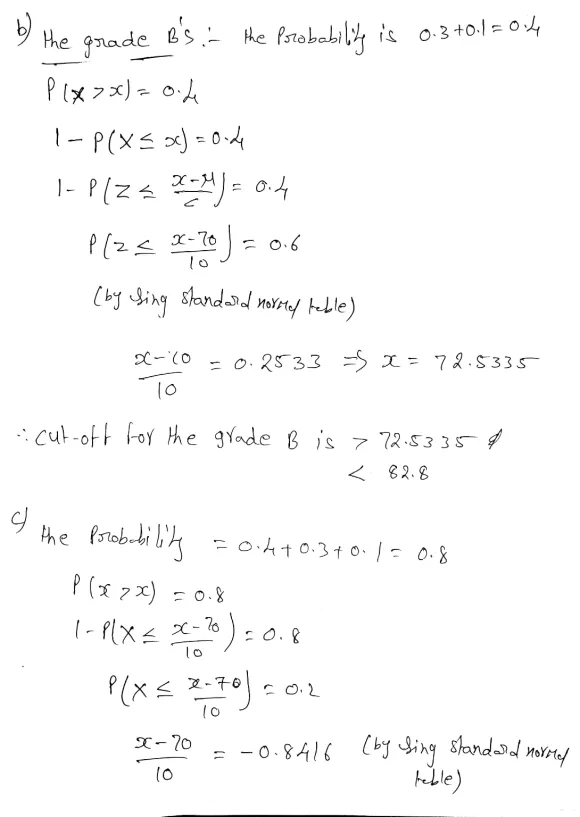
The final marks in a statistics course are normally distributed with a mean of 70 and...

The final marks in a statistics course are normally distributed with a mean of 70 and a variance of 100. The professor must convert all marks to letter grades. He decides that he wants 10% A's, 30% B's, 40% C's, 15% D's and 5% F's. Determine the cutoffs for each letter grade.

Solutions

Expert Solution


Related Solutions

A set of final exam grades in ST2500 course is normally distributed with mean 70 and...
A set of final exam grades in ST2500 course is normally distributed with mean 70 and standard deviation of 8. (a) What is the probability of getting a grade of A(greater or equal 80) on this exam? (4) (b) What is the probability of that a student scored between 65 and 79? (4) (c) The probability is 10% that a student taking the exam scores higher than what grade?
The final exam scores in a statistics class were normally distributed with a mean of 70...
The final exam scores in a statistics class were normally distributed with a mean of 70 and a standard deviation of five. What is the probability that a student scored less than 55% on the exam?
A set of final examination grades in an introductory statistics course is normally​ distributed, with a...
A set of final examination grades in an introductory statistics course is normally​ distributed, with a mean of 7 and a standard deviation of 9. What is the probability that a student scored between 66 and 99​?
The marks on a statistics midterm test are normally distributed with a mean of 75 and...
The marks on a statistics midterm test are normally distributed with a mean of 75 and a standard deviation of 6. What is the probability that a sample of 50 exams has an average midterm test mark that is less than 70? a. Virtually 0 b. 0.2033 c. -5.89 d. 0.2776 e. Virtually 1
The marks on a statistics midterm test are normally distributed with a mean of 75 and...
The marks on a statistics midterm test are normally distributed with a mean of 75 and a standard deviation of 6. What is the probability that a sample of 25 exams has a sample mean between 71 and 73? a. 0.45293 b. 0.04793 c. 0.0475 d. 0.0485 e. 0.04707
The marks on a statistics midterm test are normally distributed with a mean of 75 and...
The marks on a statistics midterm test are normally distributed with a mean of 75 and a standard deviation of 6. What is the probability that a sample of 50 exams has a sample mean between 74 and 75? a. 0.3810 b. 0.1210 c. 0.4641 d. 0.3790 e. 0.1190
final exam scores in a mathematics course are normally distributed with a mean of 79 and...
final exam scores in a mathematics course are normally distributed with a mean of 79 and a standard deviation of 8. an exam score is 103 and the Z score is 3, what is the percentile
Scores on a statistics final in a large class were normally distributed with a mean of...
Scores on a statistics final in a large class were normally distributed with a mean of 72 and a standard deviation of 4 . Use the Cumulative Normal Distribution Table to answer the following. (a) Find the 37 th percentile of the scores. (b) Find the 70 th percentile of the scores. (c) The instructor wants to give an A to the students whose scores were in the top 12 % of the class. What is the minimum score needed...
Scores on a statistics final in a large class were normally distributed with a mean of...
Scores on a statistics final in a large class were normally distributed with a mean of 76 and a standard deviation of 9. (a) Find the 25th percentile of the scores. (b) Find the 79th percentile of the scores. (c) The instructor wants to give an A to the students whose scores were in the top 13% of the class. What is the minimum score needed to get an A? (d) Between what two values is the middle 60% of...
Scores on a statistics final in a large class were normally distributed with a mean of...
Scores on a statistics final in a large class were normally distributed with a mean of 71 and a standard deviation of 8. Use the Cumulative Normal Distribution Table to answer the following. (a) Find the 30th percentile of the scores. (b) Find the 70th percentile of the scores. (c) The instructor wants to give an A to the students whose scores were in the top 5 % of the class. What is the minimum score needed to get an...
ADVERTISEMENT
ADVERTISEMENT
ADVERTISEMENT