Question

In: Advanced Math

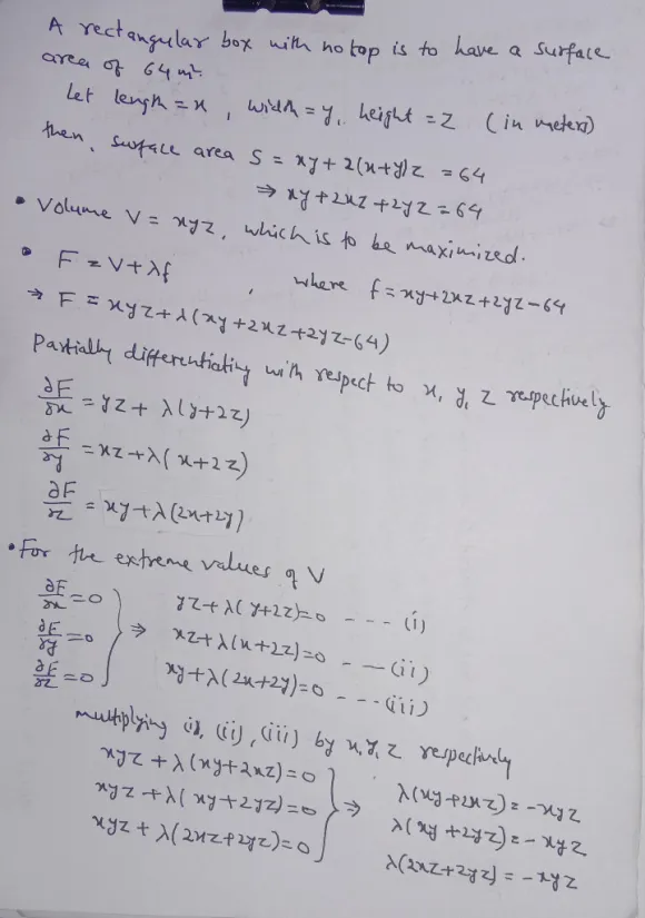
A rectangular box with no top is to have a surface area of 64 m2.  Find the...

A rectangular box with no top is to have a surface area of

64 m2.  Find the dimensions (in m) that maximize its volume.

I got width as X= 8sqrt3/3, length y=8sqrt3/3, and height as z=4sqr3/3 but it is wrong and I don't know why

Solutions

Expert Solution


Related Solutions

What is the minimum surface area of a box whose top and bottom is a square...
What is the minimum surface area of a box whose top and bottom is a square if the volume is 40 cubic inches. (Surface area is the area of all the sides of the box).
The total surface area is the sum of the triangular area and rectangular area. Complete the...
The total surface area is the sum of the triangular area and rectangular area. Complete the following code to compute the total surface area of the shape. ??????? ???? = 12 ∗ ???? ∗ ????h? + ???? ∗ ????h This Java program prompts for and reads in the value of height, base, and width in feet.This program uses two methods: Train_area and Rect_area to calculate the area of the triangle and the area of the rectangle, respectively. The following parameters:...
A box with an open top is to be constructed out of a rectangular piece of...
A box with an open top is to be constructed out of a rectangular piece of cardboard with dimensions length=10 ft and width=11 ft by cutting a square piece out of each corner and turning the sides up. Determine the length x of each side of the square that should be cut which would maximize the volume of the box.
A cereal box, in the shape of a rectangular prism and with a closed top, is...
A cereal box, in the shape of a rectangular prism and with a closed top, is to be constructed so that the base is twice as long as it is wide. Its volume is to be 8000cm3。 Find the dimensions that will minimize the amount of cardboard required to make the box.
A rectangular box with no top is to be made to hold a volume of 32...
A rectangular box with no top is to be made to hold a volume of 32 cubic inches. Which of following is the least amount of material used in its construction? a.) 80 in2 b.) 48 in2 c.) 64 in2 d.) 96 in2
A rectangular coil of wire with an area of 0.167 m2 is situated in a constant...
A rectangular coil of wire with an area of 0.167 m2 is situated in a constant magnetic field whose magnitude is 0.406 T. Suppose the normal to the surface of the coil is parallel to the direction of the magnetic field (this means the magnetic field is also normal, or perpendicular, to the surface of the coil). What is the flux through the surface? Tries 0/10 If the area of the coil is reduced to 0.110 m2 while keeping the...
An open-top rectangular box has a volume of 250 cm 3. The width of the box...
An open-top rectangular box has a volume of 250 cm 3. The width of the box is 5 cm. The cost is $2/ cm 2 for the base and $1/ cm 2 for the other sides. What is the minimum cost for making the box?
Slab milling is performed on the top surface of a rectangular workpiece that is 12.0 in...
Slab milling is performed on the top surface of a rectangular workpiece that is 12.0 in long by 2.5 in wide by 4.0 in thick. The helical milling cutter, which has a 3.0-in diameter and eight teeth overhangs the width of the part on both sides. Cutting speed = 125 ft/min, feed = 0.006 in/tooth, and depth of cut = 0.300 in. Determine (a) machining time, in min, and (b) maximum metal removal rate during the cut. in in3/min (c)...
The interior of a refrigerator has a surface area of 4.8 m2. It is insulated by...
The interior of a refrigerator has a surface area of 4.8 m2. It is insulated by a 2.2 cm thick material that has a thermal conductivity of 0.0115 J/m · s · ◦ C. The ratio of the heat extracted from the interior to the work done
Multivariable Calculus: Surface Area and Change of Variables Find the surface area of the surface given...
Multivariable Calculus: Surface Area and Change of Variables Find the surface area of the surface given by z =18−2x−3y over the triangle with vertices: (0,0), (2,3), (4,1). Since this is not a type I or type II region, you will either need to divide the region into two regions or use a change of variables. x=(1/5)(u-2v) and y=(1/10)(3u-v) is a possible change of variables. I will upvote answers!
ADVERTISEMENT
ADVERTISEMENT
ADVERTISEMENT