Question

In: Chemistry

Perry's handbook gives an approximate correlation for the capital cost of a sedimentation vessel as cost [ U $ ] = 147d1.38 , where diameter d ranges between 10 and 225 feet .

Perry's handbook gives an approximate correlation for the capital cost of a sedimentation vessel as cost [ U $ ] = 147d1.38 , where diameter d ranges between 10 and 225 feet . We stated at the start of the course that any separation unit is generally more expensive if it has a higher separation factor . Carefully explain whether the correlation from Perry's logically matches that statement for treating a given wastewater feed .

Solutions

Expert Solution

Solution

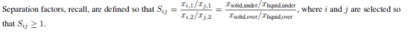
A given feed implies the physical properties are fixed , which implies the terminal settling velocity is constant ( note : a misconception that some people have is the TSV changes with an increased tank diameter ; we explicitly learned this is not the case , else we wouldn' t be able to scale up from lab tests to industrial scale ) . So if we are treating a given wastewater feed , by increasing the tank diameter we expect the following logic to hold : • we will pay more for a larger diameter tank , ( based on the correlation ) , so a

• larger tank diameter , implies larger tank area , implies

• slower horizontal velocity component for a given throughput Q , implying

• more time for solids to settle ( i.e. a longer residence time ) , implying solid , under increases and solid , over decreases , implying

• S in the above equation gets larger and larger

 This sequence of logical events matches our expectation .


Related Solutions

ADVERTISEMENT
ADVERTISEMENT
ADVERTISEMENT