Question

In: Chemistry

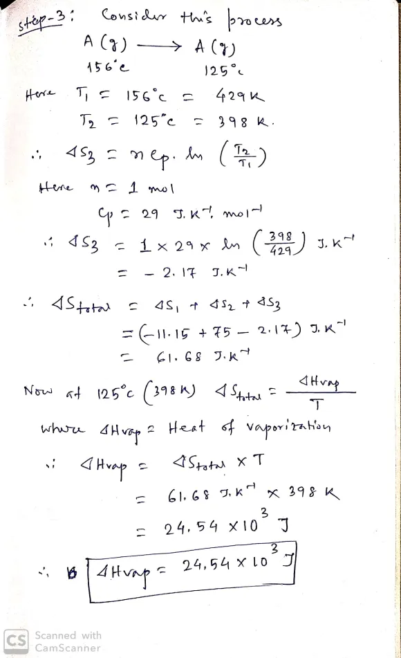
Consider the process A(l) → A(g) 70.°C 156°C which is carried out at constant pressure. The...

Consider the process A(l) → A(g) 70.°C 156°C which is carried out at constant pressure. The total ΔS for this process is known to be 75.0 J K−1 mol−1. For A(l) and A(g), the Cp values are 75.0 J K−1 mol−1 and 29.0 J K−1 mol−1, respectively, and are not dependent on temperature. Calculate ΔHvaporization for A(l) at 125°C (its boiling point).

Solutions

Expert Solution


Related Solutions

A) For a particular process that is carried out at constant pressure, q = 145 kJ...
A) For a particular process that is carried out at constant pressure, q = 145 kJ and w = -35 kJ. Therefore, = 180 kJ and ΔH = 145 kJ. ΔE = 145 kJ and ΔH = 180 kJ. ΔE = 110 kJ and ΔH = 145 kJ. ΔE = 145 kJ and ΔH = 110 kJ. B) Dry chemical hand warmers utilize the oxidation of iron to form iron oxide according to the following reaction: 4Fe(s)+3O2(g)→2Fe2O3(s) Standard thermodynamic quantities...
Find ΔE° for the reaction below if the process is carried out at a constant pressure...
Find ΔE° for the reaction below if the process is carried out at a constant pressure of 1.00 atm andΔV (the volume change) = -24.5 L. (1 L ∙ atm = 101 J) 2 CO(g) + O2 (g) → 2 CO2(g) ΔH° = -566. kJ Select one: A. +2.47 kJ B. -568 kJ C. -2.47 kJ D. -564 kJ
A process is carried out at constant pressure. Given that ∆E is positive and ∆H is negative,
A process is carried out at constant pressure. Given that ∆E is positive and ∆H is negative, D) the system loses heat and contracts during the process Which equation represents the reaction that corresponds to the standard enthalpy of formation b of CHCl3 at 25° (∆Hf of CHCl3)?C) 2 C(s) +H2(g) +3Cl2(g) ---> 2CHCl3(l) The reaction 4 Ag(s) +O2(g) ---->2AgO(s) favors Ag2O at low temperature, but it favors Ag and O2 at high temperatures. How can this be explained in...
The following reaction was carried out in a 4.00 L reaction vessel at 1100 K: C(s)+H2O(g)⇌CO(g)+H2(g)...
The following reaction was carried out in a 4.00 L reaction vessel at 1100 K: C(s)+H2O(g)⇌CO(g)+H2(g) If during the course of the reaction, the vessel is found to contain 5.00 mol of C, 14.8 mol of H2O, 3.30 mol of CO, and 8.60 mol of H2, what is the reaction quotient Q? Enter the reaction quotient numerically.
Q9. For each of the following chemical and physical changes carried out at constant pressure, state...
Q9. For each of the following chemical and physical changes carried out at constant pressure, state whether work is done by the system on the surroundings or by the surroundings on the system, or whether the amount of work is negligible. State whether process or reaction is endothermic or exothermic. A.benzene (l) → benzene (g)   B. ½ N2(g) + 3/2 H2(g) → NH3(g) ΔH = -92 kJ/mol C. 2NH4NO3(s) → 2N2(g) + 4H2O(g) + O2(g) + heat D. H2(g) +...
Q9. For each of the following chemical and physical changes carried out at constant pressure, state...
Q9. For each of the following chemical and physical changes carried out at constant pressure, state whether work is done by the system on the surroundings or by the surroundings on the system, or whether the amount of work is negligible. State whether process or reaction is endothermic or exothermic. A.benzene (l) → benzene (g)   B. ½ N2(g) + 3/2 H2(g) → NH3(g) ΔH = -92 kJ/mol C. 2NH4NO3(s) → 2N2(g) + 4H2O(g) + O2(g) + heat D. H2(g) +...
Partial Pressure/Total Pressure Question Consider the equation: (CH3)2N2H2(l) + 2N2O4(l) ---> 3N2(g) + 4H2O(g) + 2CO2(g)...
Partial Pressure/Total Pressure Question Consider the equation: (CH3)2N2H2(l) + 2N2O4(l) ---> 3N2(g) + 4H2O(g) + 2CO2(g) 150.0g of (CH3)2N2H2(l) reacts with excess dinitrogen tetroxide and the product gases are collected at 127°C in an evacuated 250L tank. Assuming the reaction has a 100% yield and all gases behave as ideal gas. A) How many moles of N2 could be produced after the reaction completed? B) What is the partial pressure of nitrogen gas produced? C) What is the total gas...
Consider the following reaction: CO(g)+2H2(g)⇌CH3OH(g) The reaction between CO and H2 is carried out at a...
Consider the following reaction: CO(g)+2H2(g)⇌CH3OH(g) The reaction between CO and H2 is carried out at a specific temperature with initial concentrations of CO = 0.32 M and H2 = 0.53 M. At equilibrium, the concentration of CH3OH is 0.16 M. Part A Find the equilibrium constant at this temperature. Express your answer using two significant figures.
The reaction N2(g)+O2(g)⇌2NO(g) is carried out at a temperature at which Kc = 0.055. The reaction...
The reaction N2(g)+O2(g)⇌2NO(g) is carried out at a temperature at which Kc = 0.055. The reaction mixture starts with only the product, [NO] = 0.0200 M, and no reactants. Part A Find the equilibrium concentrations of N2 at equilibrium. Part B Find the equilibrium concentrations of O2 at equilibrium. Part C Find the equilibrium concentrations of NO at equilibrium.
The following reversible gas-phase reaction is carried out in a 10 L batch reactor. A <->C...
The following reversible gas-phase reaction is carried out in a 10 L batch reactor. A <->C -rA = CA – 0.5CC [mol/(L h)] Determine the pressure, temperature, and gas phase composition (mole fractions) in the reactor after 1 hour of operating adiabatically given the following initial conditions and physical properties and the assumption of ideal gas behavior: P0 = 100 kPa, yA0 = 0.5, yC0 = 0.1, yinert=0.4, T0 = 500 K. cpA = cpC = 10 J/mol K, cpinert...
ADVERTISEMENT
ADVERTISEMENT
ADVERTISEMENT