Question

In: Statistics and Probability

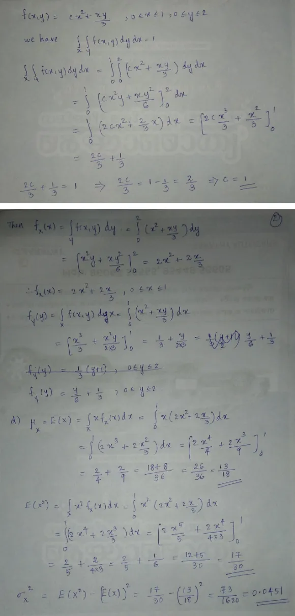
For f(x,y)=??^2+(??)/3 ?? 0 ≤ ? ≤1,0 ≤ ? ≤2, d. Find ?? ??? ??. e....

For f(x,y)=??^2+(??)/3 ?? 0 ≤ ? ≤1,0 ≤ ? ≤2,
d. Find ?? ??? ??.
e. Find ?? ??? ??.
f. Find ?.
g. P(X<Y)=
h. P(0<Y<1)=
i. P(X>0.5, Y>1)=

Solutions

Expert Solution


Related Solutions

Let f(x,y)= (3/2)(x^2+y^2 ) in 0≤x≤1, 0≤y≤1. (a) Find V(X) (b) Find V(Y)
Let f(x,y)= (3/2)(x^2+y^2 ) in 0≤x≤1, 0≤y≤1. (a) Find V(X) (b) Find V(Y)
Find the average value of f(x, y) = e −(x 2+y 2 ) on x 2...
Find the average value of f(x, y) = e −(x 2+y 2 ) on x 2 + y 2 ≤ π
Let f(x) = a(e-2x – e-6x), for x ≥ 0, and f(x)=0 elsewhere. a) Find a...
Let f(x) = a(e-2x – e-6x), for x ≥ 0, and f(x)=0 elsewhere. a) Find a so that f(x) is a probability density function b)What is P(X<=1)
For f(x,y)=cxy, ? ≥ 0, ? ≥ 0, ? + ? ≤ 1, Determine E(Y|x) and...
For f(x,y)=cxy, ? ≥ 0, ? ≥ 0, ? + ? ≤ 1, Determine E(Y|x) and E(X|y)
f(x,y)=30(1-y)^2*x*e^(-x/y). x>0. 0<y<1. a). show that f(y) the marginal density function of Y is a Beta...
f(x,y)=30(1-y)^2*x*e^(-x/y). x>0. 0<y<1. a). show that f(y) the marginal density function of Y is a Beta random variable with parameters alfa=3 and Beta=3. b). show that f(x|y) the conditional density function of X given Y=y is a Gamma random variable with parameters alfa=2 and beta=y. c). set up how would you find P(1<X<3|Y=.5). you do not have to do any calculations
Solve the following IVP specifically using the Laplace transform method (d^3)x/d(t^3)+x=e^(-t)u(t)    f(0)=0 f'(0)=0    f''(0)=0...
Solve the following IVP specifically using the Laplace transform method (d^3)x/d(t^3)+x=e^(-t)u(t)    f(0)=0 f'(0)=0    f''(0)=0 where u(t) is the Heaviside step function
Find the volume of D= {(x,y,z): x^2+y^2+z^2<_ 4, x _>0, y_>0
Find the volume of D= {(x,y,z): x^2+y^2+z^2<_ 4, x _>0, y_>0
Suppose f(x,y)=(1/8)(6-x-y) for 0<x<2 and 2<y<4. a. Find p(Y<3|X=1) b. Find p(Y<3|0.5<X<1)
Suppose f(x,y)=(1/8)(6-x-y) for 0<x<2 and 2<y<4. a. Find p(Y<3|X=1) b. Find p(Y<3|0.5<X<1)
The y-intercept is (0, 0). The x-intercepts are (0, 0), (2, 0). Degree is 3. End behavior: as x → −∞, f(x) → −∞, as x → ∞, f(x) → ∞.
The y-intercept is (0, 0). The x-intercepts are (0, 0), (2, 0). Degree is 3. End behavior: as x → −∞, f(x) → −∞, as x → ∞, f(x) → ∞.  
Find the maximum of f(x,y)=9-x^2-y^2 subject to x+y=3
Find the maximum of f(x,y)=9-x^2-y^2 subject to x+y=3
ADVERTISEMENT
ADVERTISEMENT
ADVERTISEMENT