Question

In: Economics

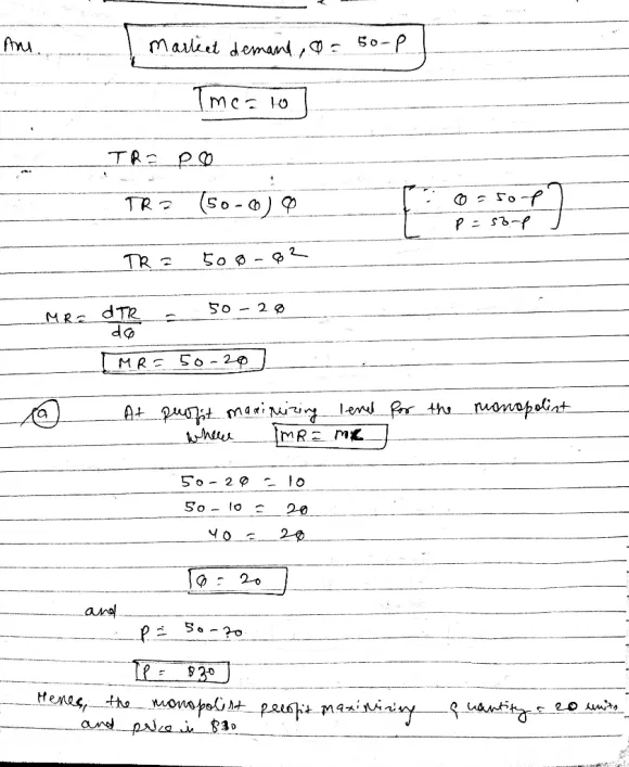
A monopolist in Ba can produce at constant marginal cost of MC = 10. The monopolist...

A monopolist in Ba can produce at constant marginal cost of MC = 10. The monopolist faces a market demand curve given by Q = 50 - P. You can assume that average cost is same as marginal cost.

a) Calculate the profit-maximizing price-quantity combination for the monopolist.

b) Compute the monopolist’s profits and consumer surplus.

c) What output level would be produced by this industry under perfect competition?

d) Calculate the consumer surplus obtained by consumers under perfect competition.

e) Compute the deadweight loss from monopoly.

Solutions

Expert Solution

Ans.


Related Solutions

A monopolist can produce at a constant average and marginal cost of ATC = MC =...
A monopolist can produce at a constant average and marginal cost of ATC = MC = $5. It faces a market demand curve given by Q = 53 - P. 5. Suppose there are N firms in the industry, all with the same constant MC = $5. Find the Cournot equilibrium. How much will each firm produce, what will be the market price, and how much profit will each firm earn? Also show that as N becomes large, the market...
A monopolist can produce a constant average (and marginal) cost of AC=MC=$5. It faces a market...
A monopolist can produce a constant average (and marginal) cost of AC=MC=$5. It faces a market demand curve given by Q=53-P. A) Consider Problem 2 in the Homework 12 Supplement.  Suppose a second firm enters the market. Let Q1 be the output of the first firm and Q2 be the output of the second. Market demand is now given by Q1+Q2 = 53-P. Assuming that this second firm has the same costs as the first, how much will each firm produce...
4. A monopolist can produce at constant average and marginal costs of AC = MC =...
4. A monopolist can produce at constant average and marginal costs of AC = MC = 10. The firm faces a market demand curve given by P = 100 - Q. (a) Calculate the profit-maximizing level of output and price for the monopolist. Also calculate the monopolist's profit. (b) Assume this industry suddenly becomes perfectly competitive. Calculate the price and industry output if this industry is perfectly competitive. (c) Calculate the deadweight welfare loss that the monopoly in (a) imposes...
Consider a monopolist facing a constant marginal cost of MC = $10 per unit and a...
Consider a monopolist facing a constant marginal cost of MC = $10 per unit and a demand curve of P = 200 – 2q for each individual consumer. If the monopolist has zero fixed costs, what are its profit and the resulting deadweight loss? How does your answer change if the monopolist also has a fixed cost of $4000? b. Now the monopolist faces a potential competitor. If the consumer switches to buy the product from the entrant the consumer...
A monopolist sells in two states and has constant marginal cost MC =10. Demand in market...
A monopolist sells in two states and has constant marginal cost MC =10. Demand in market 1 is Q1 = 50- p1. Market 2 demand is Q2 = 90-1.5p2. a)      If the monopolist is unable to discriminate price, what would be the profit maximizing price and quantity? b)      If the monopolist can discriminate price between two states, what would the price and quantity in each market? c)      Calculate the demand elasticity of each market and explain the price strategy.
Suppose a monopolist has constant (average and marginal cost of AC = MC = 8) and...
Suppose a monopolist has constant (average and marginal cost of AC = MC = 8) and faces demand such that QD = 100 - P.                                                                                                                      Derive MR curve (hint: you can calculate TR with Demand curve, then you can drive MR from TR) Calculate a monopolist’s profit-maximizing Quantity and Price Calculate the equilibrium Price and Quantity in the perfectly competitive market Draw all curves (Demand, MR, and MC curves) Calculate Monopoly Profit and Dead Weight Loss (DWL). Comparing the profit-maximizing...
A monopolist with a constant marginal cost of production of 10 maximizes its profit by choosing...
A monopolist with a constant marginal cost of production of 10 maximizes its profit by choosing to produce where the price elasticity of demand is –3. (Recall that MR = p(1 + 1/ε) where MR is marginal revenue, p is price and ε is the point price elasticity of demand.) A. If price is decreased (from its profit maximizing level) by a small amount, revenue of the monopolist will increase. B. If the monopolist’s fixed cost increases, its profit maximizing...
41. A monopolist has a constant marginal and average cost of $10 and faces a demand...
41. A monopolist has a constant marginal and average cost of $10 and faces a demand curve of QD = 1000 – 10P. Marginal revenue is given by MR = 100 – 1/5Q. a. Calculate the monopolist’s profit-maximizing quantity, price, and profit. b. Now suppose that the monopolist fears entry, but thinks that other firms could produce the product at a cost of $14 per unit (constant marginal and average cost) and that many firms could potentially enter. How could...
A monopolist (Firm 1) may be a low-cost type, with constant marginal cost of production 10,...
A monopolist (Firm 1) may be a low-cost type, with constant marginal cost of production 10, or a high-cost type, with constant marginal cost of 20, with probabilities p and 1-p respectively. It has no fixed cost. Only the monopolist knows his type. The game has two stages. In stage one, a potential entrant (Firm 2) with constant marginal cost of 15 decides whether to enter the market. Entry requires a fixed investment of $100. If Firm 2 enters the...
A monopolist is able to produce at a constant average total and marginal costs (ATC =...
A monopolist is able to produce at a constant average total and marginal costs (ATC = MC = 5). The firm faces a market demand curve with the following equation P = 53 - Q. *Determine the equation that gives the firm's marginal revenue curve. *Determine the firm's profit-maximizing output level and the price that they would charge for their product. Determine the monopolist's profits. *Determine the output level that would be produced within this firm under perfect competition. (P...
ADVERTISEMENT
ADVERTISEMENT
ADVERTISEMENT