Question

In: Math

Find the integral that represents the volume of the following solids: 1. below the surface z=1+xy...

Find the integral that represents the volume of the following solids:

1. below the surface z=1+xy and over the triangle with vertices (1,1), (4,1) and (3,2).

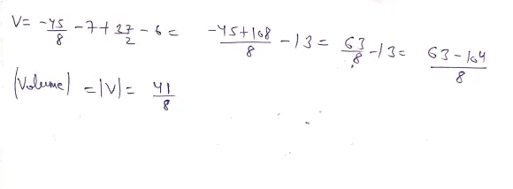
2. enclosed by the planes y=0, z=0, y=x and 6x+2y+3z=6

Solutions

Expert Solution


Related Solutions

Consider the trough above the surface z=8y2 and below z=8, with −1≤x≤1. Find the moments of...
Consider the trough above the surface z=8y2 and below z=8, with −1≤x≤1. Find the moments of inertia around the x,y and z axis.
Consider the trough above the surface z=8y^2 and below z=8, with −1≤x≤1. Find the moments of...
Consider the trough above the surface z=8y^2 and below z=8, with −1≤x≤1. Find the moments of inertia around the x,y and z axis.ix=iy=iz=
Find the volume of the solid bounded by the surface z =5 +(x-4) ^2+2y and the...
Find the volume of the solid bounded by the surface z =5 +(x-4) ^2+2y and the planes x = 3, y = 3 and coordinate planes. a. First find the volume by actual calculation. b. Estimate the volume by dividing the region into nine equal squares and evaluating the functional value at the mid-point of the respective squares and multiplying with the area and summing it. Find the error from step a. c. Then estimate the volume by dividing each...
1. For z=x^2-xy^2 find: a. the gradient for z; b. the directional derivative in direction of...
1. For z=x^2-xy^2 find: a. the gradient for z; b. the directional derivative in direction of <3,-1>; c.the approximation for Δz when taking a Δs =0.05 step from (1,2) in direction of <3,-1>; d. the approximation to the maximum Δz possible when taking a Δs =0.05 step from (1,2).
Evaluate the surface integral. S x2yz dS, S is the part of the plane z =...
Evaluate the surface integral. S x2yz dS, S is the part of the plane z = 1 + 2x + 3y that lies above the rectangle [0, 3] × [0, 2]
Find the volume of the solid in R^3 above the plane z = 0 and below...
Find the volume of the solid in R^3 above the plane z = 0 and below the surface z = 4 − x^2 − y^2.
z2 = xy-3x+9 Find the point closest to the origin on the surface.
z2 = xy-3x+9 Find the point closest to the origin on the surface.
Use a triple integral to determine the volume of the solid bounded by paraboloid x2+y2=z and...
Use a triple integral to determine the volume of the solid bounded by paraboloid x2+y2=z and the plane z=4y. Round your answer to two decimal places.
If the point (1,2,k ) lies on the tangent plane to the surface Z=35x^2 +yln(xy) at...
If the point (1,2,k ) lies on the tangent plane to the surface Z=35x^2 +yln(xy) at the point (1,1,35) then k=
Set up an integral that uses the disk method to find the volume of the solid...
Set up an integral that uses the disk method to find the volume of the solid of revolution obtained by revolving the area between the curves y = sech(x/2), y =2, x =0 and x = 4 around the line y=2. Include a sketch of the region and show all work to integrate and. Note: Recall that sech(u) = 1/cosh(u). Please show details for every single step
ADVERTISEMENT
ADVERTISEMENT
ADVERTISEMENT