In: Accounting
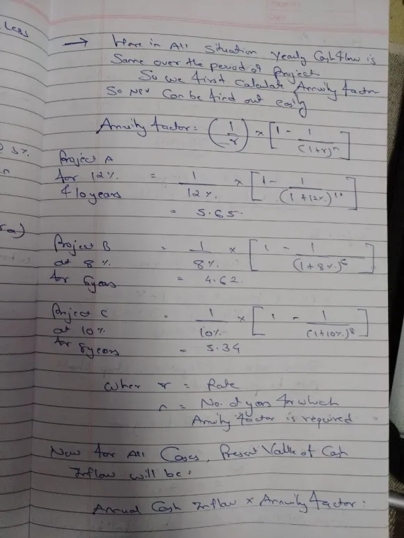
Net Present Value Use Exhibit 12B.1 and Exhibit 12B.2 to locate the present value of an annuity of $1, which is the amount to be multiplied times the future annual cash flow amount.
Each of the following scenarios is independent. Assume that all cash flows are after-tax cash flows.
Required:
1. Compute the NPV for Campbell Manufacturing,
assuming a discount rate of 12%. If required, round all present
value calculations to the nearest dollar. Use the minus sign to
indicate a negative NPV.
$
Should the company buy the new welding system?
2. Conceptual Connection: Assuming a required
rate of return of 8%, calculate the NPV for Evee Cardenas'
investment. Round to the nearest dollar. If required, round all
present value calculations to the nearest dollar. Use the minus
sign to indicate a negative NPV.
$
Should she invest?
What if the estimated return was $135,000 per year? Calculate
the new NPV for Evee Cardenas' investment. Would this affect the
decision? What does this tell you about your analysis? Round to the
nearest dollar.
$
The shop _____ be purchased. This reveals that the decision to accept or reject in this case is affected by differences in estimated
3. What was the required investment for Barker
Company's project? Round to the nearest dollar. If required, round
all present value calculations to the nearest dollar.
$



Note
If you have any queries kindly post a comment, i will solve it earliest.
If you satisfied with my answer, kindly give a thumbs up, it will help to encourage me.