In: Physics
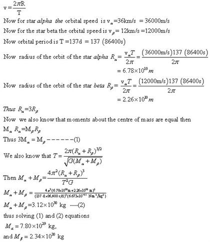
The two stars in a certain binary star system move in circular orbits. The first star, Alpha, has an orbital speed of 36.0km/s. The second star, Beta, has an orbital speed of 12.0km/s. The orbital period is 137d.
What is the mass of the star Alpha?
What is the mass of the star Beta?
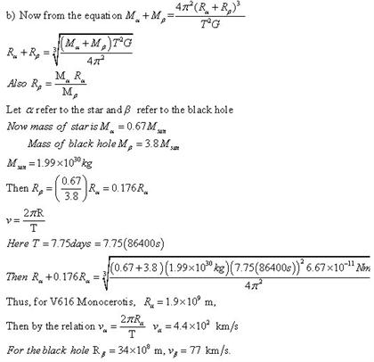
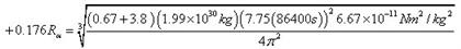
One of the best candidates for a black hole is found in the binary system called A0620-0090. The two objects in the binary system are an orange star, V616 Monocerotis, and a compact object believed to be a black hole. The orbital period of A0620-0090 is 7.75hours, the mass of V616 Monocerotis is estimated to be 0.67 times the mass of the sun, and the mass of the black hole is estimated to be 3.8times the mass of the sun. Assuming that the orbits are circular, find the radius of the orbit of the orange star.
Find the radius of the orbit of the black hole.
Find the orbital speed of the orange star.
Find the orbital speed of the black hole.

_________________________________________
Here's the the rest of the equation you see above as incomplete:
