Question

In: Economics

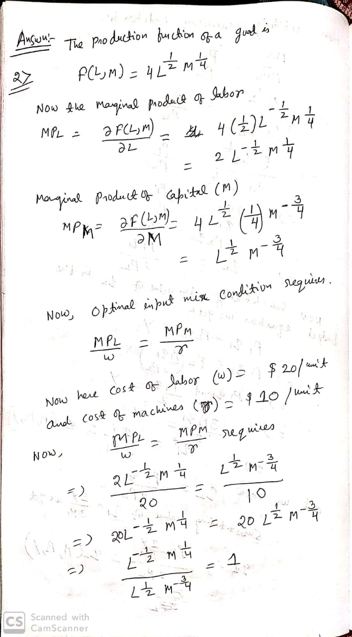
The production function of a good is f(L,M)=4L1/2 M1/4, where L is the number of units...

The production function of a good is f(L,M)=4L1/2 M1/4, where L is the number of units of labor and M is the number of machines used. The cost of labor is $20 per unit and the cost of machines is $10 per unit. If the firm decides to produce Q units of output, (1) Does the production function exhibit increasing returns to scale? Why? (2) Get the conditional factor demand for L and M. (3) If there is a set-up cost at $1000. Find the total cost of producing Q units of output using the answer from (2). (4) Find the average total costs function and marginal costs function?

Solutions

Expert Solution


Related Solutions

3. the production function is f(L, M)=4*(L^1/2) (M^1/2), where L is the number of units of...
3. the production function is f(L, M)=4*(L^1/2) (M^1/2), where L is the number of units of labor and M is the number of machines used. If the cost of labor is $49 per unit and the cost of machines is $25 per unit, then how much will be the total cost of producing 7 units of output ?
Consider the production function F(L,K) = L^2/3 K^2/3 . (f) Does this production function exhibit increasing,...
Consider the production function F(L,K) = L^2/3 K^2/3 . (f) Does this production function exhibit increasing, decreasing or constant returns to scale? Explain. (g) Find the total cost, average cost and marginal cost of producing y units of output. Is the average cost increasing or decreasing in y? Is the marginal cost higher or lower than the average cost? Question 2 The production of magic chairs requires only two inputs: seats (S) and legs (L) (no other inputs are required...
The production function of an economy is F(K,L) = 20(K0.5L0.5), where L is labour and K...
The production function of an economy is F(K,L) = 20(K0.5L0.5), where L is labour and K is capital with L = 400 and K = 400. What type of returns to scale does this production function exhibit?
Suppose a production function is given by  F ( K , L ) = K^(1/2) L^(1/2), the...
Suppose a production function is given by  F ( K , L ) = K^(1/2) L^(1/2), the price of capital “r” is $16, and the price of labor “w” is $16. a. (5) What combination of labor and capital minimizes the cost of producing 100 units of output in the long run? b. (5) When r falls to $1, what is the minimum cost of producing 100 pounds of pretzels in the short run? In the long run? c. (5) When...
Suppose a production function is given by  F ( K , L ) = K 1 2...
Suppose a production function is given by  F ( K , L ) = K 1 2 L 1 2, the price of capital “r” is $16, and the price of labor “w” is $16. a. (5) What combination of labor and capital minimizes the cost of producing 100 units of output in the long run? b. (5) When r falls to $1, what is the minimum cost of producing 100 pounds of pretzels in the short run? In the long...
2. Suppose a production function is given by  F ( K , L ) = K 1...
2. Suppose a production function is given by  F ( K , L ) = K 1 2 L 1 2, the price of capital “r” is $16, and the price of labor “w” is $16. a. (5) What combination of labor and capital minimizes the cost of producing 100 units of output in the long run? b. (5) When r falls to $1, what is the minimum cost of producing 100 pounds of pretzels in the short run? In the...
Suppose that output Q is produced with the production function Q = f(K;L), where K is...
Suppose that output Q is produced with the production function Q = f(K;L), where K is the number of machines used, and L the number of workers used. Assuming that the price of output p and the wage w and rental rate of capital r are all constant, what would the prot maximizing rules be for the hiring of L and K? (b) What is theMRTSK;L for the following production function: Q = 10K4L2? Is this technology CRS, IRS or...
Suppose that output Q is produced with the production function Q = f(K,L), where K is...
Suppose that output Q is produced with the production function Q = f(K,L), where K is the number of machines used, and L the number of workers used. Assuming that the price of output p and the wage w and rental rate of capital r are all constant, what would the profit maximizing rules be for the hiring of L and K? (b) What is the MRTSK,L for the following production function: Q = 10K4L2? Is this technology CRS, IRS...
The technology available allows to produce a good according to the production function F(L,K)=[(L-3)K]1/3 if L≥3...
The technology available allows to produce a good according to the production function F(L,K)=[(L-3)K]1/3 if L≥3 and K≥0, and F(L,K)=0 if L<3. The market demand for this good is D(p)=90/p. The prices of labor and capital are w=1 and r=9, respectively. A. (12 points) Describe the cost minimization problem of a firm with this technology, and calculate its conditional factor demands. Also, calculate the firm's total, average and marginal cost functions. B. (10 points) Calculate la supply of a competitive...
Suppose Noah and Naomi's short-run weekly production function for garden benches is             F(L)=min{0,L−3},F(L)=min⁡{0,L−3},      where L...
Suppose Noah and Naomi's short-run weekly production function for garden benches is             F(L)=min{0,L−3},F(L)=min⁡{0,L−3},      where L represents the number of hours of labor employed. The wage rate is $12 an hour. For non-negative amounts of output, what is their short-run cost function? C = 36 + 12Q. C =12 +36Q. C =12Q. C = 36Q. C =36 - 12Q.
ADVERTISEMENT
ADVERTISEMENT
ADVERTISEMENT