Question

In: Physics

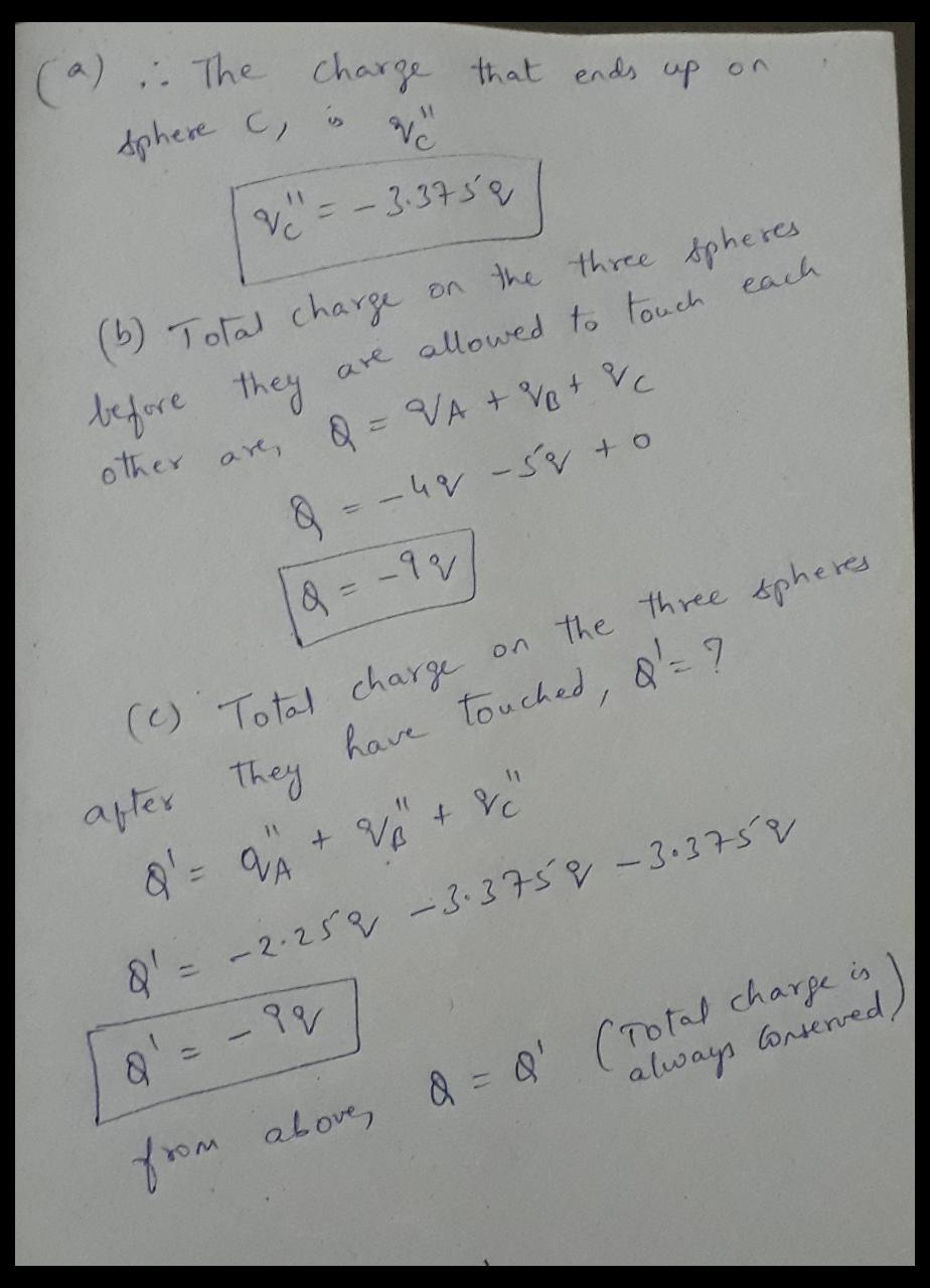
Consider three identical metal spheres, A, B, and C. Sphere A carries a charge of -4q....

Consider three identical metal spheres, A, B, and C. Sphere A carries a charge of -4q. Sphere B carries a charge of -5q. Sphere C carries no net charge. Spheres A and B are touched together and then separated. Sphere C is then touched to sphere A and separated from it. Last, sphere C is touched to sphere B and separated from it. For the following questions, express your answers in terms of q.

(a) How much charge ends up on sphere C?

(b) What is the total charge on the three spheres before they are allowed to touch each other?

(c) What is the total charge on the three spheres after they have touched?

Please answer all three parts if possible and show all steps. Thanks in advance!

Solutions

Expert Solution


Related Solutions

Consider three identical metal spheres, A, B, and C. Sphere A carries a charge of +6q....
Consider three identical metal spheres, A, B, and C. Sphere A carries a charge of +6q. Sphere B carries a charge of +q. Sphere C carries no net charge. Spheres A and B are touched together and then separated. Sphere C is then touched to sphere A and separated from it. Last, sphere C is touched to sphere B and separated from it. For the following questions, express your answers in terms of q. (a) How much charge ends up...
Consider three identical metal spheres, A, B, and C. Sphere A carries a charge of -10q....
Consider three identical metal spheres, A, B, and C. Sphere A carries a charge of -10q. Sphere B carries a charge of -3q. Sphere C carries no net charge. Spheres A and B are touched together and then separated. Sphere C is then touched to sphere A and separated from it. Lastly, sphere C is touched to sphere B and separated from it. 1. How much charge ends up on sphere C? 2. What is the total charge on the...
Consider three identical metal spheres, A, B, and C. Sphere A carries a charge of +9q....
Consider three identical metal spheres, A, B, and C. Sphere A carries a charge of +9q. Sphere B carries a charge of -q. Sphere C carries no net charge. Spheres A and B are touched together and then separated. Sphere C is then touched to sphere A and separated from it. Lastly, sphere C is touched to sphere B and separated from it. (a) What is the ratio of the final charge on sphere C to q? What is the...
Consider three identical metal spheres, A, B, and C. Sphere A carries a charge of +3q....
Consider three identical metal spheres, A, B, and C. Sphere A carries a charge of +3q. Sphere B carries a charge of -q. Sphere C carries no net charge. Spheres A and B are touched together and then separated. Sphere C is then touched to sphere A and separated from it. Lastly, sphere C is touched to sphere B and separated from it. (a) What is the ratio of the final charge on sphere C to q? What is the...
Consider three identical metal spheres, A, B, and C. Sphere A carries a charge of +2q....
Consider three identical metal spheres, A, B, and C. Sphere A carries a charge of +2q. Sphere B carries a charge of +3q. Sphere C carries no net charge. Spheres A and B are touched together and then separated. Sphere C is then touched to sphere A and separated from it. Last, sphere C is touched to sphere B and separated from it. For the following questions, express your answers in terms of q. (a) How much charge ends up...
Metal sphere A of radius 11.0 cm carries 9.00 μC of charge, and metal sphere B...
Metal sphere A of radius 11.0 cm carries 9.00 μC of charge, and metal sphere B of radius 20.0 cm carries −2.00 μC of charge. If the two spheres are attached by a very long conducting thread, what is the final distribution of charge on the two spheres? Charge on sphere A (μC)? Charge on sphere B (μC)?
Three metal spheres (A, B, C) all have the same charge +Q on them. The spheres...
Three metal spheres (A, B, C) all have the same charge +Q on them. The spheres have radii of RA = 1m, RB = 2m, and RC = 4m respectively. Rank the magnitude of the electric field at a distance r = 3m in each case. a. EA < EB < EC b. EC < (EA = EB) c. EA = EB = EC d. EC < EB < EA
Suppose there are four identical conducting spheres: A, B, C, and D. In each scenario, sphere...
Suppose there are four identical conducting spheres: A, B, C, and D. In each scenario, sphere A starts with a charge of −?,sphere C starts out with a charge of +Q, and spheres B and D start out neutral. Then, the spheres are touched to each other and separated in the order described. Any spheres not in contact are held very far away. For each scenario, give the final charge of sphere C as a whole‑number fraction of ?. For...
A small metal sphere, A, carrying a charge of +15.0μC is at the origin. An identical...
A small metal sphere, A, carrying a charge of +15.0μC is at the origin. An identical sphere, B, carrying a charge of -18.0μC is at~ xB= 4.0ˆi cm and a third sphere, C,carrying +25.0μC is at~x C= 3.0ˆj cm. (a) Find the total electrical force exerted on sphere A. (b) Let us view sphere A as a probe charge which we are using to measure the field due to spheres B and C. Use your result from part b) to...
You have four identical conducting spheres: A, B, C, and D. In each scenario, sphere A...
You have four identical conducting spheres: A, B, C, and D. In each scenario, sphere A starts with a charge of +?+Q whereas B, C, and D start out with no net charge, and then the spheres are touched to each other and separated in the order described. Any spheres not in contact are held very far away. For each scenario, give the final charge of sphere A as a whole number fraction of ?.Q. For example, if you decide...
ADVERTISEMENT
ADVERTISEMENT
ADVERTISEMENT