Question

In: Physics

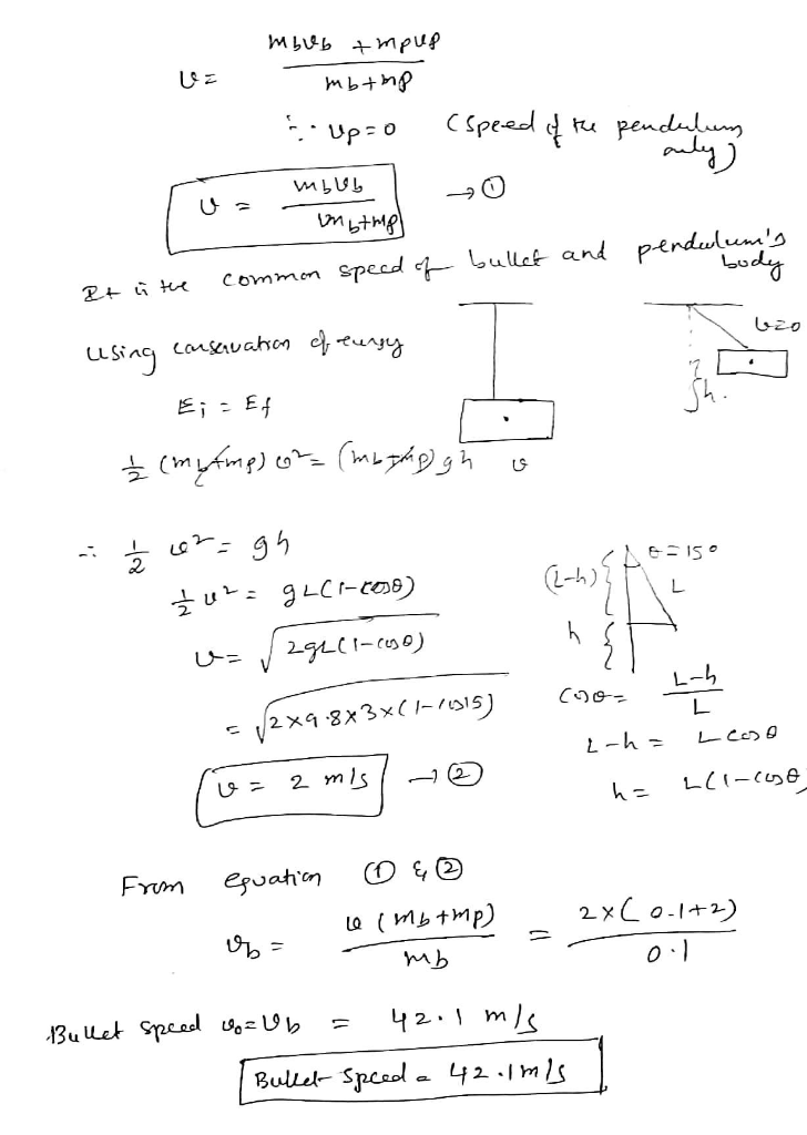
A bullet with mass m = 0.1 kg grams hits a ballistic pendulum with length L...

A bullet with mass m = 0.1 kg grams hits a ballistic pendulum with length L = 3 meters and mass M = 2 kg and lodges in it. When the bullet hits the pendulum it swings up from the equilibrium position and reaches an angle 15 degrees at its maximum. In this problem, you will determine the bullet’s velocity. First, I want to ask you a couple of questions:

  1. While the bullet is embedding into the block, is energy conserved? Why or why not?

B.While the bullet is embedding into the block, is momentum conserved? Why or why not?

C. When the pendulum swings up to its maximum angle, is energy conserved? Why or why not?

D.When the pendulum swings up to its maximum angle, is momentum conserved? Why or why not?

E. Find the velocity of the bullet.

Solutions

Expert Solution


Related Solutions

A spring gun fires a bullet of mass m=.04 kg horizontally at a ballistic pendulum apparatus...
A spring gun fires a bullet of mass m=.04 kg horizontally at a ballistic pendulum apparatus with a mass M=.350. the bullet lodges itself into the pendulum. After collision, the center of mass of the bullet and pendulum rises by .07 meters. What is the approximate initial speed v of the bullet?
A bullet of mass 4.3 g strikes a ballistic pendulum of mass 1.9 kg. The center...
A bullet of mass 4.3 g strikes a ballistic pendulum of mass 1.9 kg. The center of mass of the pendulum rises a vertical distance of 12 cm. Assuming that the bullet remains embedded in the pendulum, calculate the bullet's initial speed.
A bullet of mass 2.7 g strikes a ballistic pendulum of mass 2.7 kg. The center...
A bullet of mass 2.7 g strikes a ballistic pendulum of mass 2.7 kg. The center of mass of the pendulum rises a vertical distance of 11 cm. Assuming that the bullet remains embedded in the pendulum, calculate the bullet's initial speed.
A simple pendulum with mass m = 1.6 kg and length L = 2.79 m hangs...
A simple pendulum with mass m = 1.6 kg and length L = 2.79 m hangs from the ceiling. It is pulled back to an small angle of θ = 10.7° from the vertical and released at t = 0. A)What is the period of oscillation? B)What is the magnitude of the force on the pendulum bob perpendicular to the string at t=0? C)What is the maximum speed of the pendulum? D)What is the angular displacement at t = 3.62...
A simple pendulum with mass m = 2.3 kg and length L = 2.67 m hangs...
A simple pendulum with mass m = 2.3 kg and length L = 2.67 m hangs from the ceiling. It is pulled back to an small angle of θ = 9.4° from the vertical and released at t = 0. What is the maximum speed of the pendulum? 4) What is the angular displacement at t = 3.57 s? (give the answer as a negative angle if the angle is to the left of the vertical) 5) What is the...
A simple pendulum with mass m = 1.3 kg and length L = 2.62 m hangs...
A simple pendulum with mass m = 1.3 kg and length L = 2.62 m hangs from the ceiling. It is pulled back to an small angle of ? = 11.6° from the vertical and released at t = 0. What is the period of oscillation? What is the magnitude of the force on the pendulum bob perpendicular to the string at t=0? What is the maximum speed of the pendulum? What is the angular displacement at t = 3.67...
A simple pendulum with mass m = 1.5 kg and length L = 2.49 m hangs...
A simple pendulum with mass m = 1.5 kg and length L = 2.49 m hangs from the ceiling. It is pulled back to an small angle of θ = 9.5° from the vertical and released at t = 0. What is the magnitude of the force on the pendulum bob perpendicular to the string at t=0? What is the maximum speed of the pendulum? What is the angular displacement at t = 3.67 s? (give the answer as a...
A simple pendulum with mass m = 1.8 kg and length L = 2.69 m hangs...
A simple pendulum with mass m = 1.8 kg and length L = 2.69 m hangs from the ceiling. It is pulled back to an small angle of θ = 8.7° from the vertical and released at t = 0. 1) What is the period of oscillation? 2) What is the magnitude of the force on the pendulum bob perpendicular to the string at t=0? 3) What is the maximum speed of the pendulum? 4) What is the angular displacement...
A ballistic pendulum consists of a thin rod AB (length = 2.0 m; mass = 1.14...
A ballistic pendulum consists of a thin rod AB (length = 2.0 m; mass = 1.14 kg) that is rigidly attached to a solid sphere that has a center C, radius = 0.4 m, and mass = 2.45 kg. A bullet (mass = 0.01 kg) is fired at point C with a speed of 675 m/s. Determine the amount of kinetic energy lost by the system due to the impact.
Q1: Consider the simple pendulum system, the length of the pendulum is ‘l’ and mass ‘m’...
Q1: Consider the simple pendulum system, the length of the pendulum is ‘l’ and mass ‘m’ has simple harmonic motion. Find the equation of motion using 2 approaches: Newtonian and Lagrangian. What do you conclude?
ADVERTISEMENT
ADVERTISEMENT
ADVERTISEMENT