Question

In: Physics

The mass of a particular eagle is twice that of a hunted pigeon. Suppose the pigeon...

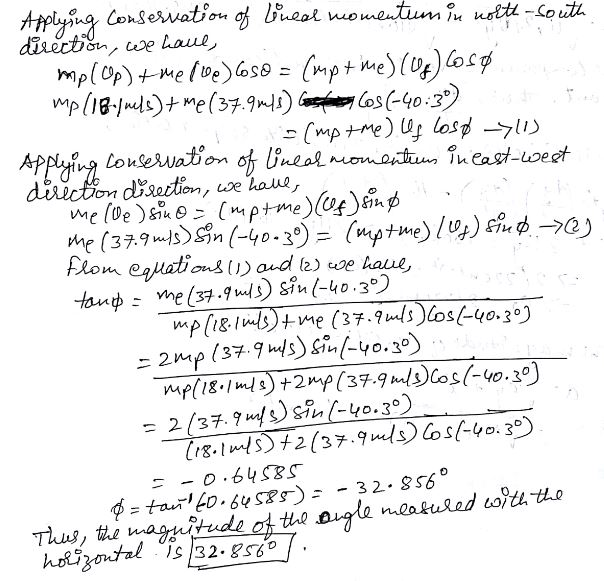
The mass of a particular eagle is twice that of a hunted pigeon. Suppose the pigeon is flying north at ??,2=18.1vi,2=18.1 m/s when the eagle swoops down, grabs the pigeon and flies off. At the instant right before the attack, the eagle is flying toward the pigeon at an angle ?=40.3θ=40.3° below the horizontal and a speed of ??,1=37.9vi,1=37.9 m/s.

What is the speed of the eagle immediately after it catches its prey?

What is the magnitude of the angle, measured from horizontal, at which the eagle is flying immediately after the strike?

Solutions

Expert Solution


Related Solutions

The mass of a particular eagle is twice that of a hunted pigeon. Suppose the pigeon...
The mass of a particular eagle is twice that of a hunted pigeon. Suppose the pigeon is flying north at vi,2=16.3 m/s when the eagle swoops down, grabs the pigeon, and flies off. At the instant right before the attack, the eagle is flying toward the pigeon at an angle θ=51.5 below the horizontal and a speed of vi,1=37.5m/s What is the speed of the eagle immediately after it catches its prey? What is the magnitude of the angle, measured...
The mass of a particular eagle is twice that of a hunted pigeon. Suppose the pigeon...
The mass of a particular eagle is twice that of a hunted pigeon. Suppose the pigeon is flying north at??,2=16.9vi,2=16.9 m/s when the eagle swoops down, grabs the pigeon, and flies off. At the instant right before the attack, the eagle is flying toward the pigeon at an angle ?=49.9θ=49.9°below the horizontal and a speed of ??,1=37.3vi,1=37.3 m/s. What is the speed of the eagle immediately after it catches its prey?What is the magnitude of the angle, measured from horizontal,...
The mass of a particular eagle is twice that of a hunted pigeon. Suppose the pigeon...
The mass of a particular eagle is twice that of a hunted pigeon. Suppose the pigeon is flying north at ??,2=17.1vi,2=17.1 m/swhen the eagle swoops down, grabs the pigeon, and flies off. At the instant right before the attack, the eagle is flying toward the pigeon at an angle ?=45.5θ=45.5° below the horizontal and a speed of ??,1=39.7vi,1=39.7 m/s. What is the speed of the eagle immediately after it catches its prey? speed: What is the magnitude of the angle,...
In a particular frame of reference a virtual particle appears to travel at a speed twice...
In a particular frame of reference a virtual particle appears to travel at a speed twice the speed of light. How fast must a different frame move in order for this particle to appear to move instantaneously?
A stone is dropped at t = 0. A second stone, with twice the mass of...
A stone is dropped at t = 0. A second stone, with twice the mass of the first, is dropped from the same point at t = 234 ms. How far below the release point is the center of mass of the two stones at t = 326 ms? (Neither stone has yet reached the ground.) Tries 0/10 How fast is the center of mass of the two-stone system moving at that time?
1. Person A has twice the mass of person B. If they are placed at both...
1. Person A has twice the mass of person B. If they are placed at both sides of the seesaw and are at equilibrium, then A. person a is half as far from the folcrum as person B B. person A is 1/4 as far from the folcrum as person B C. person A is 4 times farther away from the folcrum as person B D. person A is twice as far away from the folcrum as person B
Suppose Lost Pigeon Aviation is considering a project that will require $250,000 in assets. • The...
Suppose Lost Pigeon Aviation is considering a project that will require $250,000 in assets. • The project is expected to produce earnings before interest and taxes (EBIT) of $60,000. • Common equity outstanding will be 25,000 shares. • The company incurs a tax rate of 30%. If the project is financed using 100% equity capital, then Lost Pigeon’s return on equity (ROE) on the project will be (16.80%, 14.27%, 19.32%, or 17.64%) In addition, Lost Pigeon’s earnings per share (EPS)...
One car has twice the mass of a second car, but only half as much kinetic...
One car has twice the mass of a second car, but only half as much kinetic energy. When both cars increase their speed by 7 m/s, they then have the same energy. What were the original speeds of the two cars?
Two cannons are each loaded with one cannonball. One cannonball has twice the mass, but is...
Two cannons are each loaded with one cannonball. One cannonball has twice the mass, but is fired from has a barrel that is twice the length of the other. Which cannonball, if either, will travel farther? Justify your answer with any necessary equations. Assume each cannon applies the same force, and assume that force is constant until the cannonball exits the barrel.
One car has twice the mass of a second car, but only half as much kinetic...
One car has twice the mass of a second car, but only half as much kinetic energy. When both cars increase their speed by 9.0 m/s , they then have the same kinetic energy. a)What were the original speeds of the two cars?
ADVERTISEMENT
ADVERTISEMENT
ADVERTISEMENT