In: Math
Two manufacturing processes are being compared to try to reduce the number of defective products made. During 8 shifts for each process, the following results were observed:
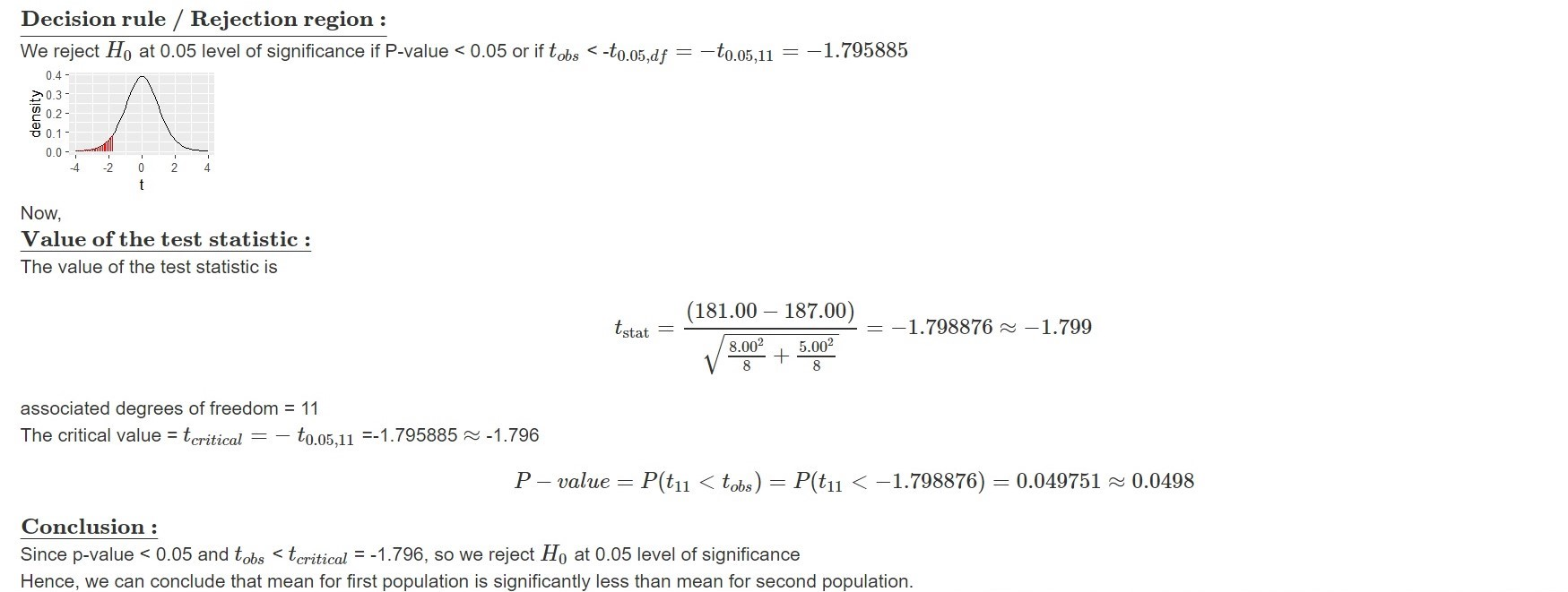
| Line A | Line B | |
| n | 8 | 8 |
| x-bar | 181 | 187 |
| s | 8 | 5 |
Based on a 5% significance level, did line B have a larger average than line A?
*Do not use the p-value method
*Use the five step method
Step 1: H0 :
HA:
Step 2: alpha =
Step 3: Test Statistic:
Step 4: Decision Rule:
Step 5: Calculation and Decision
Reject or do not reject H0? Why?
Based on a 5% significance level, did line B have better performance than line A in terms of process variation?
*Do not use the p-value method
*Use and show the five step method, as shown above
Reject or do not reject the H0? Why?
Let
denite the average number of defective products made by Line A and
Line B respectively.


Conclusion in context of problem :
There is enough evidence to support the claim that line B have a significantly larger average than line A.