Question

In: Chemistry

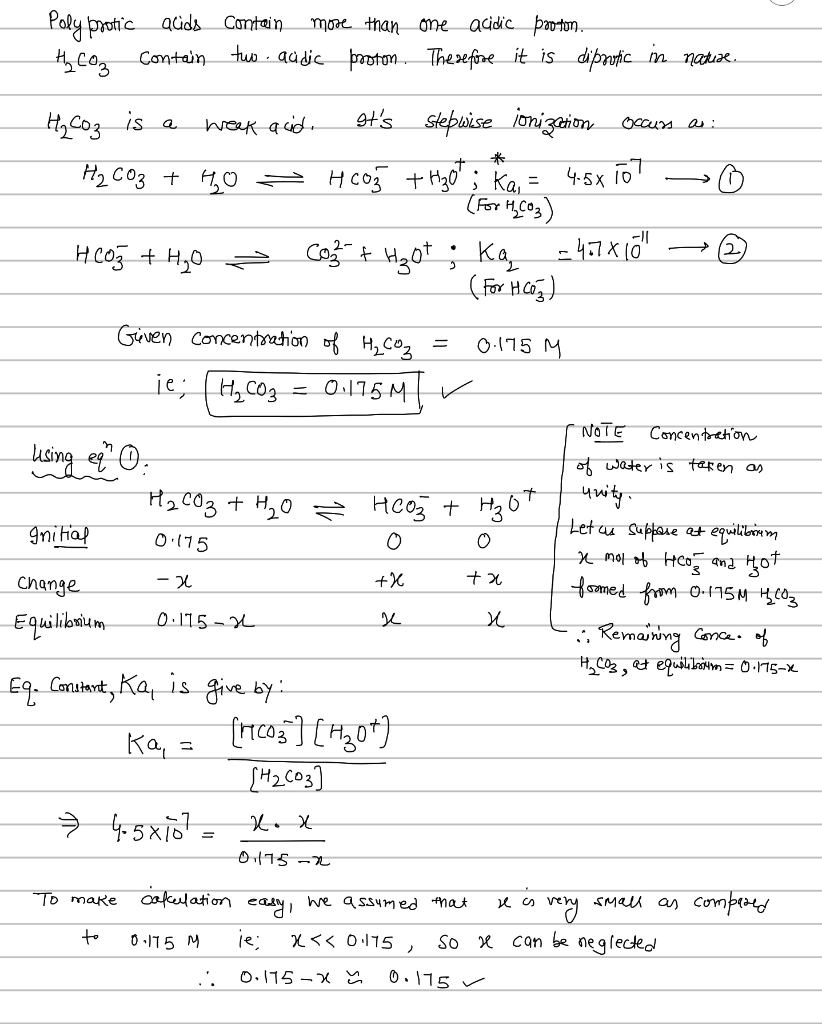
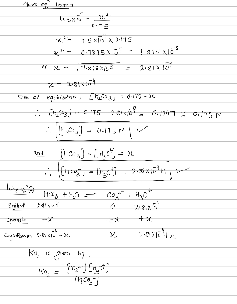
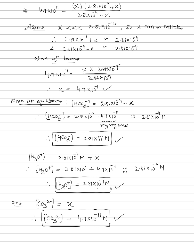
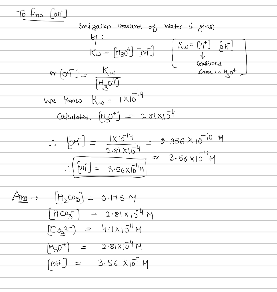
Calculate the concentration of all species in a 0.175 M solution of H2CO3. [H2CO3], [HCO?3], [CO2?3],...

Calculate the concentration of all species in a 0.175 M solution of H2CO3.

[H2CO3], [HCO?3], [CO2?3], [H3O+], [OH?]

Solutions

Expert Solution


Related Solutions

Calculate the concentration of all species in a 0.180 M solution of H2CO3. [H2CO3], [HCO−3], [CO2−3],...
Calculate the concentration of all species in a 0.180 M solution of H2CO3. [H2CO3], [HCO−3], [CO2−3], [H3O+], [OH−]
Calculate the concentration of all species in a 0.150 M solution of H2CO3. H2CO3], [HCO−3], [CO2−3],...
Calculate the concentration of all species in a 0.150 M solution of H2CO3. H2CO3], [HCO−3], [CO2−3], [H3O+], [OH−] = Enter your answers numerically separated by commas. Express your answer using two significant figures.
calculate the concentration of all species in a 0.175 M solution of H2CO3. H2CO3 HCO3- CO3...
calculate the concentration of all species in a 0.175 M solution of H2CO3. H2CO3 HCO3- CO3 ^2- H3O- OH-
Calculate the concentration of all species in a 0.175 M solution of H2CO3. Enter your answers...
Calculate the concentration of all species in a 0.175 M solution of H2CO3. Enter your answers numerically separated by commas. Express your answer using two significant figures. [H2CO3], [HCO3^-], [CO3^2-], [H3O^+], [OH^−] =
Calculate the concentrations of all species present (H2CO3, HCO−3, CO2−3, H3O+ and OH−) in 0.017 M...
Calculate the concentrations of all species present (H2CO3, HCO−3, CO2−3, H3O+ and OH−) in 0.017 M H2CO3. I already found the pH to be 4.07. H2CO3 (Ka1=4.3×10−7; Ka2=5.6×10−11).
#15.114 Calculate the concentration of all species in a 0.165 M solution of H2CO3. (express to...
#15.114 Calculate the concentration of all species in a 0.165 M solution of H2CO3. (express to 2 sig figs) [H2CO3], [HCO−3], [CO2−3], [H3O+], [OH−]
Calculate the concentration of all species in a 0.155 M solution of H2CO3. Express your answer...
Calculate the concentration of all species in a 0.155 M solution of H2CO3. Express your answer using two significant figures. [H2CO3], [HCO−3], [CO2−3], [H3O+], [OH−] =   M  
Calculate the concentration of all species in a 0.135 M solution of H2CO3. Enter your answers...
Calculate the concentration of all species in a 0.135 M solution of H2CO3. Enter your answers numerically separated by commas. Express your answer using two significant figures.
Calculate the concentration of all species in a 0.130M solution of H2CO3. [H2CO3], [HCO3^-] , [CO3^2-],...
Calculate the concentration of all species in a 0.130M solution of H2CO3. [H2CO3], [HCO3^-] , [CO3^2-], [H3O^+], [OH^-] Please show work
Find the concentration of all species in solution for a 0.25 M aqueous solution of H2CO3.        ...
Find the concentration of all species in solution for a 0.25 M aqueous solution of H2CO3.         Hint (which would NOT be given for an exam): all species includes H2CO3, HCO3-, CO32-, H3O+, AND OH-.
ADVERTISEMENT
ADVERTISEMENT
ADVERTISEMENT