Question

In: Economics

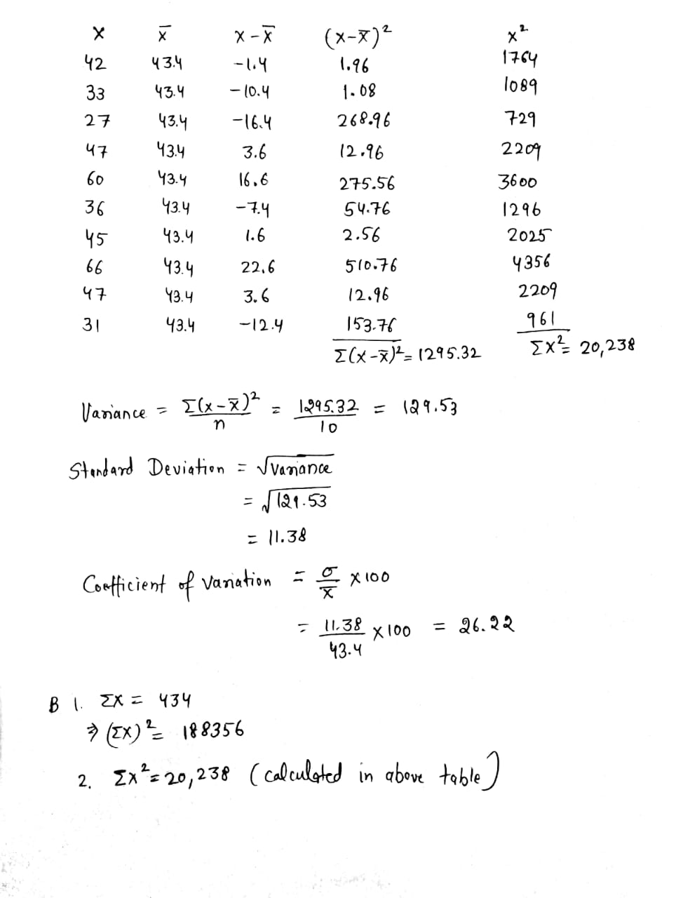
A business has 10 employees. Their annual wages (to the nearest thousands of dollars) are as...

A business has 10 employees. Their annual wages (to the nearest thousands of dollars) are as follows:

42, 33, 27, 47, 60, 36, 45, 66, 47, 31

A. Calculate the following, showing all calculations:

mean

median

mode

range

Variance

Standard Deviation

Coefficient of variation

B. Assume that the data values shown above represent "x". Compute the following:

1. (∑x)^2

2. ∑x^2

C. What would change in part A if the numbers represented a sample?

Solutions

Expert Solution

C. Median will be affected if the observations represent a sample.


Related Solutions

The annual salaries (in thousands of dollars) for the employees of a small technology firm are...
The annual salaries (in thousands of dollars) for the employees of a small technology firm are as follows: 73 70 59 80 71 70 81 73 71 72 73 66 74 70 71 70 77 73 72 71 75 74 73 84 Construct a frequency table. Use 7 classes, start with a lower class limit of 59, and use a whole number for the class width. Annual Salaries Frequency Answer - Answer Answer Answer - Answer Answer Answer - Answer...
Sample annual salaries? (in thousands of? dollars) for employees at a company are listed. 50 50??...
Sample annual salaries? (in thousands of? dollars) for employees at a company are listed. 50 50?? 47 47?? 59 59?? 54 54?? 28 28?? 28 28?? 50 50?? 47 47?? 59 59?? 27 27?? 54 54?? 50 50?? 45 45 ?(a) Find the sample mean and sample standard deviation. ?(b) Each employee in the sample is given a 5 5?% raise. Find the sample mean and sample standard deviation for the revised data set. ?(c) To calculate the monthly? salary,...
Sample annual salaries​ (in thousands of​ dollars) for employees at a company are listed. 43, 54,...
Sample annual salaries​ (in thousands of​ dollars) for employees at a company are listed. 43, 54, 55, 51, 33, 33, 43, 54, 55, 26, 51, 43, 46 ​(a) Find the sample mean and sample standard deviation. ​(b) Each employee in the sample is given a​ $3000 raise. Find the sample mean and sample standard deviation for the revised data set. ​(c) Each employee in the sample takes a pay cut of ​$2000 from their original salary. Find the sample mean...
Sample annual salaries (in thousands of dollars) for employees at a company are listed. 55 38...
Sample annual salaries (in thousands of dollars) for employees at a company are listed. 55 38 53 58 41 41 55 38 53 29 58 55 43 (a) Find the sample mean and the sample standard deviation. (b) Each employee in the sample is given a $5000 raise. Find the sample mean and the sample standard deviation for the revised data set. (c) each employee in the sample takes a pay cut of $2000 from the original salary. Find the...
Sample annual salaries (in thousands of dollars) for employees at a company are listed. 54 49...
Sample annual salaries (in thousands of dollars) for employees at a company are listed. 54 49 44 51 32 32 54 49 44 30 51 54 48 (a) Find the sample mean and the sample standard deviation. (b) Each employee in the sample is given a 6% raise. Find the sample mean and the sample standard deviation for the revised data set. (c) To calculate the monthly salary, divide each original salary by 12. Find the sample mean and the...
Sample annual salaries​ (in thousands of​ dollars) for employees at a company are listed. 40  35  ...
Sample annual salaries​ (in thousands of​ dollars) for employees at a company are listed. 40  35  44  51  39  39  40  35  44  30  51  40  47 ​(a) Find the sample mean and sample standard deviation. ​(b) Each employee in the sample is given a ​$3000 raise. Find the sample mean and sample standard deviation for the revised data set. ​(c) Each employee in the sample takes a pay cut of ​$2000 from their original salary. Find the sample mean...
Sample annual salaries​ (in thousands of​ dollars) for employees at a company are listed. 52  40  ...
Sample annual salaries​ (in thousands of​ dollars) for employees at a company are listed. 52  40  47  63  33  33  52  40  47  25  63  52  53 ​ (a) Find the sample mean and sample standard deviation. ​ (b) Each employee in the sample is given a ​$2000 raise. Find the sample mean and sample standard deviation for the revised data set. ​ (c) Each employee in the sample takes a pay cut of ​$5000 from their original salary. Find...
Sample annual salaries​ (in thousands of​ dollars) for employees at a company are listed. 52  49  ...
Sample annual salaries​ (in thousands of​ dollars) for employees at a company are listed. 52  49  45  51  38  38  52  49  45  34  51  52  42 ​(a) Find the sample mean and sample standard deviation. ​ (b) Each employee in the sample is given a 5​% raise. Find the sample mean and sample standard deviation for the revised data set. ​ (c) To calculate the monthly​ salary, divide each original salary by 12. Find the sample mean and sample...
Sample annual salaries​ (in thousands of​ dollars) for employees at a company are listed. 42   51 ...
Sample annual salaries​ (in thousands of​ dollars) for employees at a company are listed. 42   51  57  47   41  41   42  51   57   31  47  42  46    ​(a) Find the sample mean and sample standard deviation. ​(b) Each employee in the sample is given a 55​% raise. Find the sample mean and sample standard deviation for the revised data set. ​(c) To calculate the monthly​ salary, divide each original salary by 12. Find the sample mean and sample standard...
Sample annual salaries​ (in thousands of​ dollars) for employees at a company are listed. 51 34 ...
Sample annual salaries​ (in thousands of​ dollars) for employees at a company are listed. 51 34  59 52  27 27 51   34 59 31   52 51 41    ​(a) Find the sample mean and sample standard deviation. ​(b) Each employee in the sample is given a 66​% raise. Find the sample mean and sample standard deviation for the revised data set. ​(c) To calculate the monthly​ salary, divide each original salary by 12. Find the sample mean and sample standard...
ADVERTISEMENT
ADVERTISEMENT
ADVERTISEMENT