Question

In: Physics

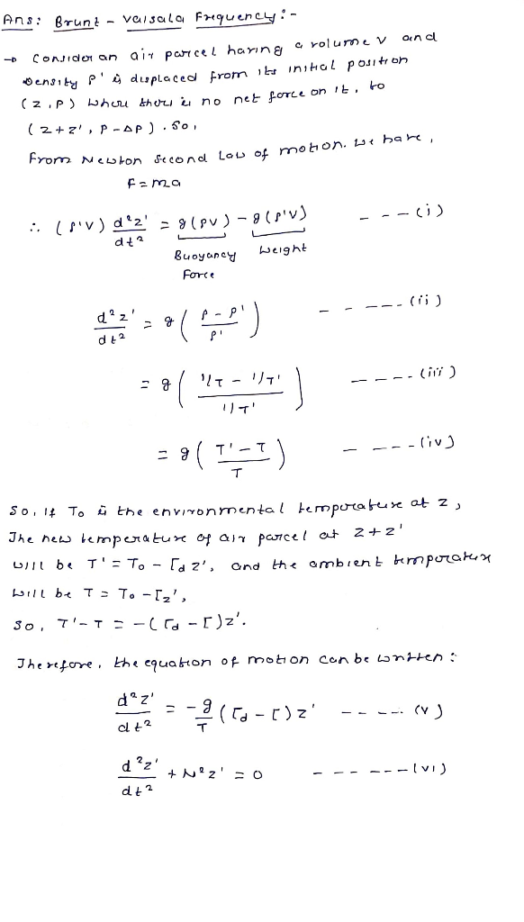
Calculate Brunt-Vaisala Frequency for a neutrally stable dry atmosphere

Calculate Brunt-Vaisala Frequency for a neutrally stable dry atmosphere

Solutions

Expert Solution


Related Solutions

Without using Pivot Tables, calculate the Frequency, Relative Frequency, and Percent Frequency for each major. Major...
Without using Pivot Tables, calculate the Frequency, Relative Frequency, and Percent Frequency for each major. Major ECON BIOL CHEM CHEM MKTG CHEM ACCT CHEM MGMT BIOL BIOL IBUS CHEM ACCT FINA CHEM MKTG CHEM PHYS ECON PHYS ECON MKTG ACCT MATH IBUS MATH MGMT ACCT ECON BIOL CHEM PHYS MGMT ACCT ACCT CHEM PHYS ECON ACCT MGMT ECON MGMT MATH ACCT MATH MGMT MATH FINA ACCT CHEM MGMT ECON ECON FINA IBUS MGMT FINA MGMT CHEM ACCT ACCT IBUS MKTG...
The partial pressure of argon in the atmosphere is 7.10torr . Calculate the partial pressure in...
The partial pressure of argon in the atmosphere is 7.10torr . Calculate the partial pressure in mmHg and atm . Round each of your answers to 3 significant digits.
How to calculate frequency response of a pressure transducer?
How to calculate frequency response of a pressure transducer?
The atmosphere is 0.9% Argon. Calculate the concentration of Argon in atmospheric air at a temperature...
The atmosphere is 0.9% Argon. Calculate the concentration of Argon in atmospheric air at a temperature of 286 K and pressure of 998 mBar
Based on the Earth’s mean surface pressure, calculate the weight of the atmosphere in kg to...
Based on the Earth’s mean surface pressure, calculate the weight of the atmosphere in kg to 1 significant figure. Show your work.
(a) Calculate BE/A (in MeV) for 12C. Stable and relatively tightly bound, this nuclide is most...
(a) Calculate BE/A (in MeV) for 12C. Stable and relatively tightly bound, this nuclide is most of natural carbon. (Assume 1 u = 931.5 MeV/c2. Give your answer to at least 2 decimal places.) answer in MeV (b) Calculate BE/A (in MeV) for 11C. answer in MeV Is the difference in BE/A between 12C and 11C significant? One is stable and common, and the other is unstable and rare. (Assume the difference to be significant if the percent difference between...
Following the soxhlet procedure, calculate the % fat content on dry and wet basis of a...
Following the soxhlet procedure, calculate the % fat content on dry and wet basis of a cheese sample considering the following: Weight of dried sample = 2.0251 g Weight of sample + thimble + glass wool = 5.4047 g Weight of defatted sample + thimble + glass wool = 4.4107 g % moisture = 35%
1 Larmor radius and gyration frequency (10 P) Calculate the Larmor radius and the gyration frequency...
1 Larmor radius and gyration frequency (10 P) Calculate the Larmor radius and the gyration frequency (4 P) for: 1. An electron in the Earth’s ionosphere at 300 km altitude, where the magnetic flux density is B ≈ 0.5 · 10−4 T, considering that the electron moves at the thermal velocity (p kT /m) with T = 1000 K. (1 P) 2. An oxygen ion O+ in the Earth’s ionosphere for the same conditions as above. Is there a difference...
Calculate the number of pounds of CO 2 released into the atmosphere when a 21.0 gallon...
Calculate the number of pounds of CO 2 released into the atmosphere when a 21.0 gallon tank of gasoline is burned in an automobile engine. Assume that gasoline is primarily octane, C 8 H 18 , and that the density of gasoline is 0.692 g ⋅ mL − 1 . This assumption ignores additives. Also, assume complete combustion. Useful conversion factors: 1 gallon = 3.785 L 1 kg = 2.204 lb
Calculate the number of pounds of CO2 released into the atmosphere when a 25.0-gallon tank of...
Calculate the number of pounds of CO2 released into the atmosphere when a 25.0-gallon tank of gasoline is burned in an automobile engine. Assume that gasoline is primarily octane, C8H18, and that the density of gasoline is 0.692 g·mL–1 (this assumption ignores additives). Also assume complete combustion.
ADVERTISEMENT
ADVERTISEMENT
ADVERTISEMENT