Question

In: Physics

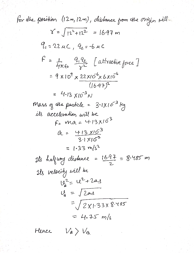
A charge of 22.0 μC is held fixed at the origin. (A) If a -6.00 μC...

A charge of 22.0 μC is held fixed at the origin.

(A)

If a -6.00 μC charge with a mass of 3.10 g is released from rest at the position (0.925 m, 1.17 m), what is its speed when it is halfway to the origin? v=__m/s

(B) Suppose the -6.00 μC charge is released from rest at the point x = 12(0.925m) and y = 12(1.17m). When it is halfway to the origin, is its speed greater than, less than, or equal to the speed found in part A? Explain

(C)Find the speed of the charge for the situation described in part B. v=__m/s

Solutions

Expert Solution


Related Solutions

A charge of 21.0 μC is held fixed at the origin.
A charge of 21.0 μC  is held fixed at the origin. A) If a -5.50 μC charge with a mass of 3.60 g is released from rest at the position (0.925 m, 1.17 m), what is its speed when it is halfway to the origin? B) Suppose the -5.50 μC charge is released from rest at the point x = 12(0.925m) and y = 12(1.17m). When it is halfway to the origin, is its speed greater than, less than, or equal to the...
A charge of 2.90 μC is held fixed at the origin. A second charge of 2.90...
A charge of 2.90 μC is held fixed at the origin. A second charge of 2.90 μC is released from rest at the position (1.25 m, 0.570 m). a) If the mass of the second charge is 2.46 g , what is its speed when it moves infinitely far from the origin? b) At what distance from the origin does the second charge attain half the speed it will have at infinity?
A charge of 3.77 μC is held fixed at the origin. A second charge of 3.45...
A charge of 3.77 μC is held fixed at the origin. A second charge of 3.45 μC is released from rest at the position (1.25 m, 0.570 m). A.) If the mass of the second charge is 2.85 g , what is its speed when it moves infinitely far from the origin? B.)At what distance from the origin does the second charge attain half the speed it will have at infinity?
IP A charge of 21.0 μC is held fixed at the origin. Part A If a...
IP A charge of 21.0 μC is held fixed at the origin. Part A If a -7.00 μC charge with a mass of 3.50 g is released from rest at the position (0.925 m, 1.17 m), what is its speed when it is halfway to the origin? v = m/s Previous AnswersRequest Answer Incorrect; Try Again; 11 attempts remaining Part BPart complete Suppose the -7.00 μC charge is released from rest at the point x = 12(0.925m) and y =...
IP A charge of 19.0 μC is held fixed at the origin. Part A- If a...
IP A charge of 19.0 μC is held fixed at the origin. Part A- If a -5.50 μC charge with a mass of 3.60 g is released from rest at the position (0.925 mm, 1.17 mm), what is its speed when it is halfway to the origin? Part B- Suppose the -5.50 μCμC charge is released from rest at the point x = 1/2(0.925mm) and y = 1/2(1.17mm). When it is halfway to the origin, is its speed greater than,...
A point charge 4.80 μC is held fixed at the origin. A second point charge 1.40...
A point charge 4.80 μC is held fixed at the origin. A second point charge 1.40 μC with mass of 2.80×10−4 kg is placed on the x axis, 0.260 m from the origin. Part A: What is the electric potential energy U of the pair of charges? (Take U to be zero when the charges have infinite separation.) (Answer in Joules) Part B: The second point charge is released from rest. What is its speed when its distance from the...
A point charge 4.20 μC is held fixed at the origin. A second point charge 1.40...
A point charge 4.20 μC is held fixed at the origin. A second point charge 1.40 μC with mass of 2.80×10−4 kg is placed on the x axis, 0.260 m from the origin. Part A: What is the electric potential energy U of the pair of charges? (Take U to be zero when the charges have infinite separation.) Part B: The second point charge is released from rest. What is its speed when its distance from the origin is 0.600...
A point charge with charge q1 = 3.50 μC is held stationary at the origin. A...
A point charge with charge q1 = 3.50 μC is held stationary at the origin. A second point charge with charge q2 = -4.80 μC moves from the point ( 0.170 m , 0) to the point ( 0.255 m , 0.260 m ). How much work W is done by the electric force on the moving point charge? Express your answer in joules. Use k = 8.99×109 N⋅m^2/C^2 for Coulomb's constant: k=1/4πϵ0.
A charge of 3.20 μC is held fixed at the origin. A second charge of 3.20 μC is released from rest at the position (1.25 m, 0.570 m).
  A charge of 3.20 μC is held fixed at the origin. A second charge of 3.20 μC is released from rest at the position (1.25 m, 0.570 m). a) If the mass of the second charge is 2.63 g , what is its speed when it moves infinitely far from the origin? (m/s) b) At what distance from the origin does the second charge attain half the speed it will have at infinity? (m)
A charge of 3.06 is held fixed at the origin. A second charge of 3.06 is...
A charge of 3.06 is held fixed at the origin. A second charge of 3.06 is released from rest at the position (1.11 m, 0.524 m). If the mass of the second charge is 2.73 g, what is its speed when it moves infinitely far from the origin? At what distance from the origin does the 3.06 charge attain half the speed it will have at infinity?
ADVERTISEMENT
ADVERTISEMENT
ADVERTISEMENT