Question

In: Economics

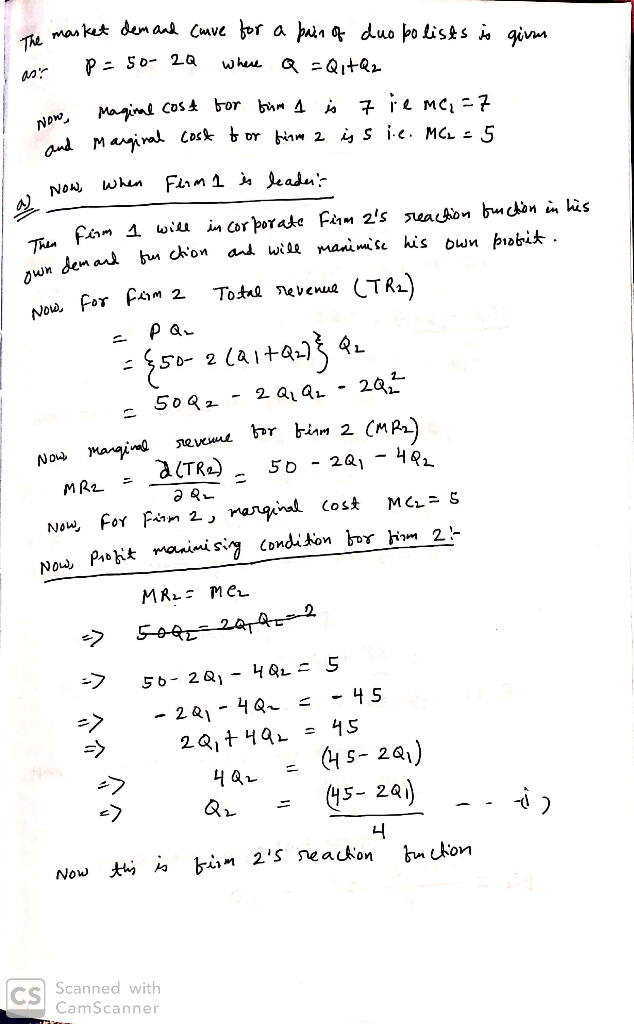
The market demand curve for a pair of duopolists is given as P=50- 2Q where Q=...

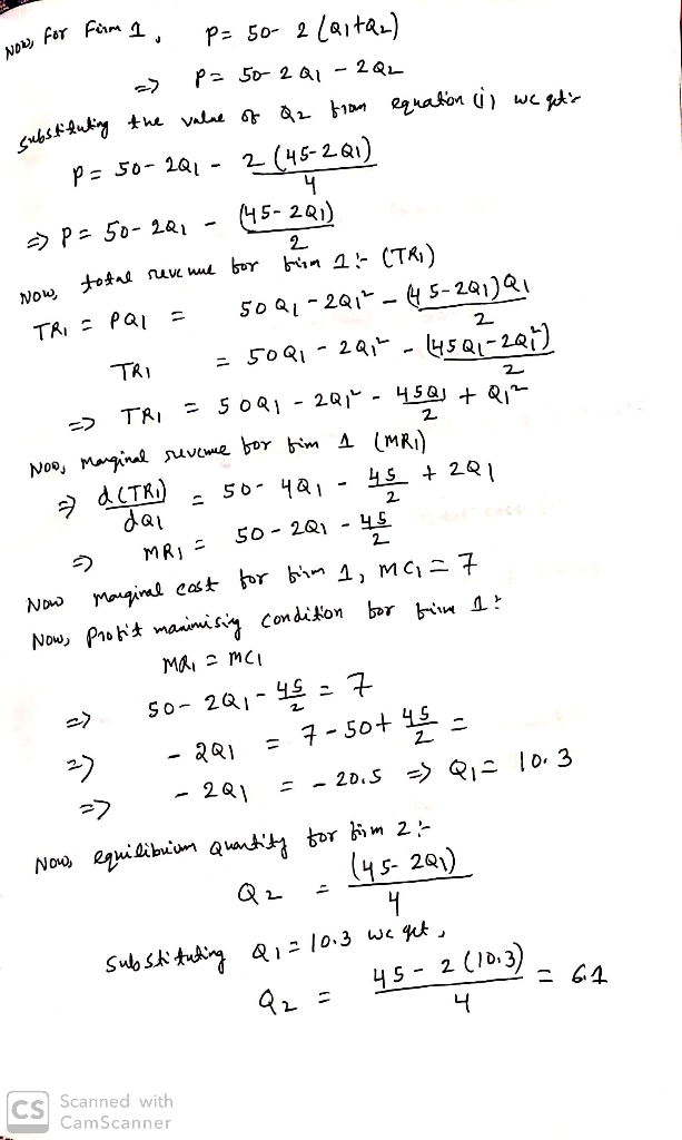
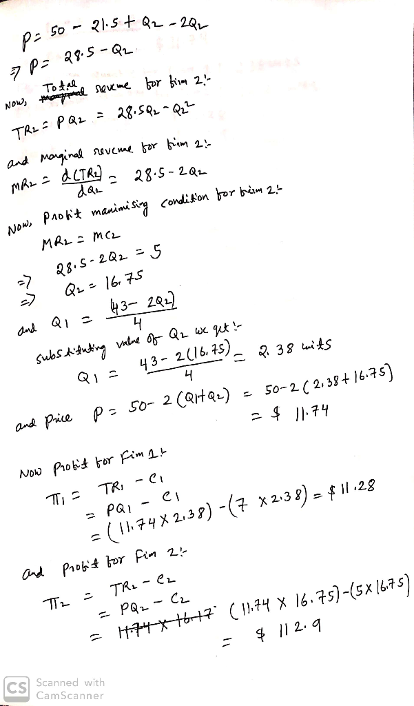
The market demand curve for a pair of duopolists is given as P=50- 2Q where Q= Q1+ Q2. The constant per unit marginal cost is 7 for firm 1 and 5 for firm 2. Both firms also have no fixed costs. Find the equilibrium price, quantity and profit for each firm if firm 1 is the Stackelberg leader and firm 2 a follower. Now re-do the computations assuming that firm 2 is the leader and firm 1 the follower.

(a) Firm 1 is leader

Equilibrium Price:

Equilibrium Quantity for Firm 1:

Equilibrium Quantity for Firm 2:

Profit for firm 1:

Profit for firm 2:

(b) Firm 2 is leader       

Equilibrium Price:

Equilibrium Quantity for Firm 1:

Equilibrium Quantity for Firm 2:

Profit for firm 1:

Profit for firm 2:

Solutions

Expert Solution


Related Solutions

Cournot duopolists face a market demand curve given by P = 90 -Q where Q is...
Cournot duopolists face a market demand curve given by P = 90 -Q where Q is total market demand. Each firm can produce output at a constant marginal cost of 30 per unit. There are no fixed costs. Determine the (1) equilibrium price, (2) quantity, and (3) economic profits for the total market,(4) the consumer surplus, and (5) dead weight loss.Show Work
Cournot duopolists face a market demand curve given by P = 90 - Q where Q...
Cournot duopolists face a market demand curve given by P = 90 - Q where Q is total market demand. Each firm can produce output at a constant marginal cost of 30 per unit. There are no fixed costs. Determine the (1) equilibrium price, (2) quantity, and (3) economic profits for the total market, (4) the consumer surplus, and (5) dead weight loss.
Cournot duopolists face a market demand curve given by P = 90 - Q where Q...
Cournot duopolists face a market demand curve given by P = 90 - Q where Q is total market demand. Each firm can produce output at a constant marginal cost of 30 per unit. There are no fixed cost. (Just need B through C answer please) a. Find the equilibrium price, quantity and economic profit for the total market, consumer surplus and Dead weight loss b. If the duopolists in question above behave, instead, according to the Bertrand model, what...
25.) Duopolists face a market demand curve given by P = 90 - Q where Q...
25.) Duopolists face a market demand curve given by P = 90 - Q where Q is total market demand. Each firm can produce output at a constant marginal cost of 30 per unit. There are no fixed costs. If the duopolists behave, according to the Bertrand model, determine the (1) equilibrium price, (2) quantity, and (3) economic profits for the total market and (4) the consumer surplus, and (5) dead weight loss.
The market demand curve for a pair of Cournot duopolists is given as: P = 36...
The market demand curve for a pair of Cournot duopolists is given as: P = 36 - 3Q, (Q = Ql + Q2). The constant per unit marginal cost is 12 for each duopolist. 12) What is the Cournot equilibrium price? a) 0 b) 10 c) 18 d) 20 e) None of the above 13) What is the Cournot equilibrium quantities for each firm? a) 1.33 b) 2.66 c) 18.14 d) 20 e) None of the above 14) What is...
The market demand curve for a pair of Cournot duopolists is given as: P = 60...
The market demand curve for a pair of Cournot duopolists is given as: P = 60 – 3Q. The constant per unit marginal cost is $6/unit for each duopolist. (Round your answers to two decimal points) a) Find the Cournot equilibrium price, quantity, and profits b) Solve the same problem as a Bertrand equilibrium. Find the longrun equilibrium price, quantities, and profits. c) Solve the same problem as a Stakelberg Leader-Follower equilibrium. Assume Firm 1 is the leader.
24. Cournot duopolists face a market demand curve given by P = 90 - Q where...
24. Cournot duopolists face a market demand curve given by P = 90 - Q where Q is total market demand. Each firm can produce output at a constant marginal cost of 30 per unit. There are no fixed costs. Determine the (1) equilibrium price, (2) quantity, and (3) economic profits for the total market, (4) the consumer surplus, and (5) dead weight loss. 25. If the duopolists in question 24 behave according to the Stackelberg Leader-Follower model, determine the...
The inverse market demand curve for protocol droids is P = 4,000 – 2Q, where Q...
The inverse market demand curve for protocol droids is P = 4,000 – 2Q, where Q is the quantity of protocol droids and P is the market price. Protocol droids can be produced at a constant marginal cost of $1,000, and all protocol droids are identical. a. Suppose the market for protocol droids is served by two firms that form a cartel and evenly split the market output. What are the market output and price level? b. Suppose the market...
Consider a market with a demand curve given (in inverse form) by P(Q)=50−0.25QP(Q)=50−0.25Q, where QQ is...
Consider a market with a demand curve given (in inverse form) by P(Q)=50−0.25QP(Q)=50−0.25Q, where QQ is total market output and PP is the price of the good. Two firms compete in this market by sequentially choosing quantities q1q1 and q2q2 (where q1+q2=Qq1+q2=Q). This is an example of: Choose one: A. Cournot competition. B. Bertrand competition. C. perfect competition. D. Stackelberg competition. Part 2(4 pts) Now suppose the cost of production is constant at $20.00 per unit (and is the same...
Stackelberg Leader-Follower duopolists face a market demand curve given by P = 120 - 3Q where...
Stackelberg Leader-Follower duopolists face a market demand curve given by P = 120 - 3Q where Q is total market demand. Each firm can produce output at a constant marginal cost of 20 per unit. The equilibrium price for the total market will be...?
ADVERTISEMENT
ADVERTISEMENT
ADVERTISEMENT