Question

In: Physics

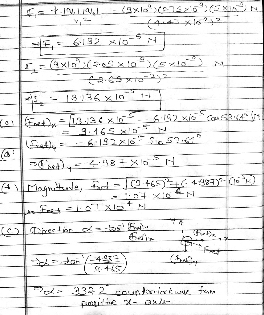
A charge of -2.75 nC is placed at the origin of an xy-coordinate system, and a...

A charge of -2.75 nC is placed at the origin of an xy-coordinate system, and a charge of 2.05 nC is placed on the y axis at y = 3.60 cm .

A. If a third charge, of 5.00 nC , is now placed at the point x = 2.65 cm , y = 3.60 cm find the x and y components of the total force exerted on this charge by the other two charges.

B. Find the magnitude of this force.

C. Find the direction of this force.

Solutions

Expert Solution

Here we apply Coulomb's law and electric force superposition principle.


Related Solutions

A charge 4.98 nC is placed at the origin of an xy-coordinate system, and a charge...
A charge 4.98 nC is placed at the origin of an xy-coordinate system, and a charge -2.05 nC is placed on the positive x-axis at x = 3.97 cm . A third particle, of charge 6.04 nC is now placed at the point x = 3.97 cm , y = 3.01 cm
A charge 4.98 nC is placed at the origin of an xy-coordinate system, and a charge...
A charge 4.98 nC is placed at the origin of an xy-coordinate system, and a charge -1.99 nC is placed on the positive x-axis at x = 4.01 cm . A third particle, of charge 6.05 nC is now placed at the point x = 4.01 cm , y = 2.98 cm . a. Find the x-component of the total force exerted on the third charge by the other two. b. Find the y-component of the total force exerted on...
A charge of -2.95 nC is placed at the origin of an xy-coordinate system, and a...
A charge of -2.95 nC is placed at the origin of an xy-coordinate system, and a charge of 2.20 nC is placed on the y axis at y = 3.85 cm . Part A If a third charge, of 5.00 nC , is now placed at the point x = 3.40 cm , y = 3.85 cm find the x and ycomponents of the total force exerted on this charge by the other two charges. Express answers numerically separated by...
A charge of -2.90 nC is placed at the origin of an xy-coordinate system, and a...
A charge of -2.90 nC is placed at the origin of an xy-coordinate system, and a charge of 1.80 nC is placed on the y axis at y = 3.75 cm . A) If a third charge, of 5.00 nC , is now placed at the point x = 3.50 cm , y = 3.75 cmcm find the xx and y components of the total force exerted on this charge by the other two charges. Fx, Fy= ______ N B)...
A charge of -4.00 nC is placed at the origin of an xy coordinate system, and...
A charge of -4.00 nC is placed at the origin of an xy coordinate system, and a charge of 3.00 nC is placed on the y-axis at y=4.00 cm. A third charge of 5.00 nC is now placed at the point x=-3.00, y=0.00 cm. Find the x and y components of the total force exerted on the third charge by the other two charges. Find the magnitude and direction of the force.
A charge of -3.00 nC is placed at the origin of an xy-coordinate system, and a...
A charge of -3.00 nC is placed at the origin of an xy-coordinate system, and a charge of 2.25 nC is placed on the y axis at y = 3.60 cm . PART A - If a third charge, of 5.00 nC , is now placed at the point x = 3.50 cm , y = 3.60 cm find the x and y components of the total force exerted on this charge by the other two charges. PART B- Find...
A charge of -3.45 nC is placed at the origin of an xy-coordinate system, and a...
A charge of -3.45 nC is placed at the origin of an xy-coordinate system, and a charge of 2.30 nC is placed on the y axis at y= 3.90 cm. Part A: If a third charge, of 5.00 nC , is now placed at the point x = 2.75 cm , y = 3.90 cm find the x and y components of the total force exerted on this charge by the other two charges. Part B: Find the magnitude of...
A charge of -3.40 nC is placed at the origin of an xy-coordinate system, and a...
A charge of -3.40 nC is placed at the origin of an xy-coordinate system, and a charge of 1.60 nC is placed on the y axis at y = 4.50 cm . a-If a third charge, of 5.00 nC , is now placed at the point x = 3.15 cm , y = 4.50 cm find the x and y components of the total force exerted on this charge by the other two charges. ? b-Find the magnitude of this...
A charge q1 = 5.00 nC is placed at the origin of an xy-coordinate system, and...
A charge q1 = 5.00 nC is placed at the origin of an xy-coordinate system, and a charge q2 = -4.00 nC is placed on the positive x axis at =x= 4.00 cm. (a) If a third charge q3 = 5.50 nC is now placed at the point x= 4.00 cm , y= 3.00 cm find the x and y components of the total force exerted on this charge by the other two charges. (b) Find the magnitude of this...
A charge q1 = 5.00 nC is placed at the origin of an xy-coordinate system, and...
A charge q1 = 5.00 nC is placed at the origin of an xy-coordinate system, and a charge q2 = -4.50 nC is placed on the positive x axis at x= 4.00 cm . If a third charge q3 = 8.00 nC is now placed at the point x= 4.00 cm , y= 3.00 cmcm find the x and y components of the total force exerted on this charge by the other two charges. Find Fx, Fy, and find the...
ADVERTISEMENT
ADVERTISEMENT
ADVERTISEMENT