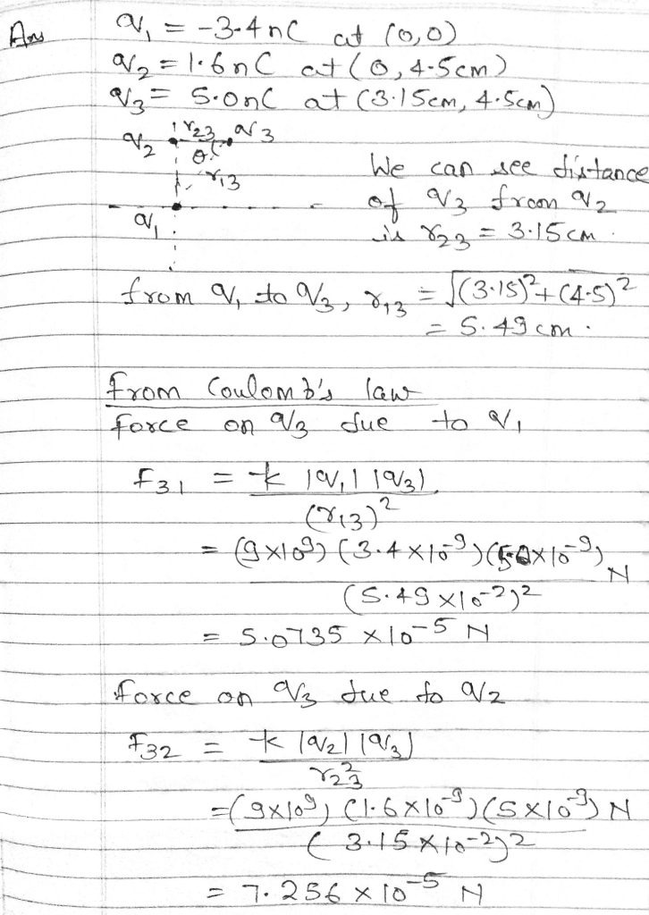
In: Physics
A charge of -3.40 nC is placed at the origin of an xy-coordinate system, and a charge of 1.60 nC is placed on the y axis at y = 4.50 cm .
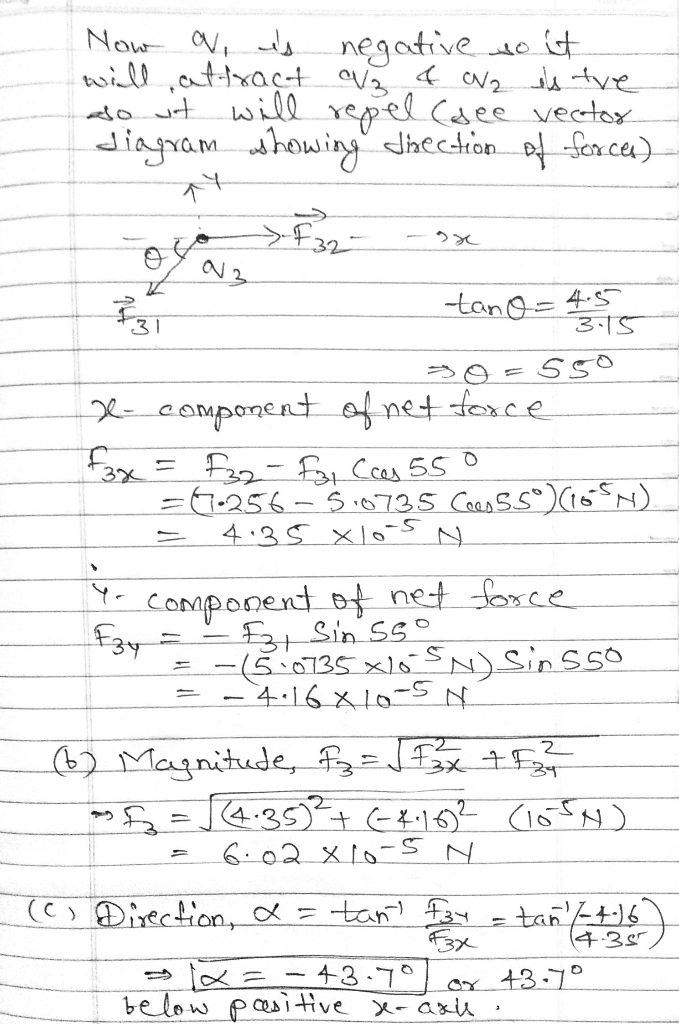
a-If a third charge, of 5.00 nC , is now placed at the point x = 3.15 cm , y = 4.50 cm find the x and y components of the total force exerted on this charge by the other two charges. ?
b-Find the magnitude of this force.
c-Find the direction of this force.
Here we apply coumlombc law of electrostatics and electric field superposition principle.

