In: Math
If p is any positive number between 0 and 1, then p4 + C(4,3) p3(1–p) + C(4,2) p2(1–p)2 + C(4,1) p (1–p)3 + (1–p)4 = 1. Explain why without performing any calculation.
Please explain the concept behind this to me, and not just the chain of calculations or mathematical proofs.
here p is a positive number between 0 and 1
let us look at the binomial distribution


so p lies between 0 and 1
the right-hand side of the equation can be rewritten as

this is equivalent to the sum of n=4 terms of binomial distribution with parameters n,p
sum of n terms of a binomial distribution is equal to one since it is a probability distribution function
therefore

or elese we can do it another way
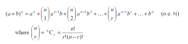
binomial expansion is given as

in our case n=4,a=p,b=1-p




If we actually multiplied the (x + a)4,
then, before adding the like terms, we would find terms in
x4, x3a, x2a2, xa3, and a4.
Multiplication of n binomials produces 2*2*2*2*2*......n times=2n terms.(distribution property)
For, multiplication of two binomials gives 4 terms:
(p + q)(m + n) = pm + pn + qm + qn.
If we multiply those with a binomial, we will have 8 terms; those multiplied with a binomial will produce 16 terms; and so on.
Example. (x + a)(x + b)(x + c)(x + d)
| = x4 | + (a + b + c + d)x3 + (ab + ac + ad + bc + bd + cd)x2 |
| + (abc + abd + acd + bcd)x + abcd. | |
For, each of the 24 terms will consist of 4 factors: one from each binomial.
x4 is produced by taking x from each factor.
xxxx = x4.
There is only one such term.
The coefficient of x4 is 1.
Terms with x3
axxx + xbxx + xxcx + xxxd = (a + b + c + d)x3.
The coefficient of x3, therefore, is the sum of the combinations of a, b, c, d taken 1 at a time
no.of such combinations 4C1
terms with x2
(ab + ac + ad + bc + bd + cd)x2.
The coefficient of x2, therefore, is the sum of the combinations of a, b, c, d taken 2 at a time
no.of such combinations 4C2
terms with x
(abc + abd + acd + bcd)x.
the coefficient of x, therefore, is the sum of the combinations of a, b, c, d taken 3 at a time
There will be 4C3 or 4 ways of doing that
terms with x0
abcd.
the coefficient of x0, therefore, is the sum of the combinations of a, b, c, d taken 4 at a time
Finally, the constant term will be produced by taking the letter
from each of the 4 factors. There is 4C4 -- 1
-- way of doing that.
If a = b = c = d then we have
the 4th power of (x + a ):
| (x + a)4 | = | 4C0x4 + 4C1ax3 + 4C2a2x2 + 4C3a3x + 4C4a4 |
| = | x4 + 4ax3 + 6a2x2 + 4a3x + a4. | |
The result is general. The binomial theorem states that in the expansion of (x + a)n, the coefficients are the combinatorial numbers nCk , where k -- the exponent of a -- successively takes the values 0, 1, 2, . . . , n.
| Each term in the expansion will have this form: |
n
(n − k) k![]() |
an − kbk | . |