In: Economics
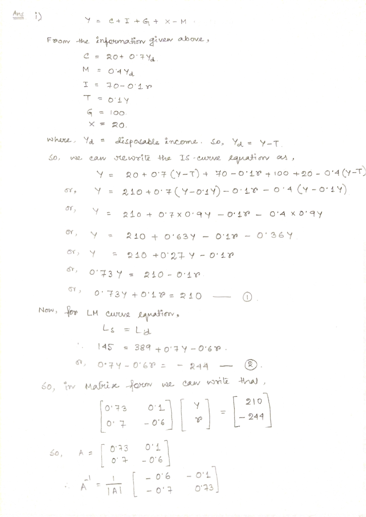
Suppose an inflationary economy can be described by the following equations representing the goods and money markets:
C = 20 + 0.7Yd
M = 0.4Yd
I = 70 – 0.1r
T = 0.1Y
G = 100 X = 20
Ld = 389 + 0.7Y – 0.6r
Ls = 145
where G represents government expenditure, M is imports, X is exports, Y is national income, Yd is disposable income, T is government taxes (net of transfer payments), I is investment, r is the rate of interest, C is consumption, Ld is money demand, and Ls is money supply.
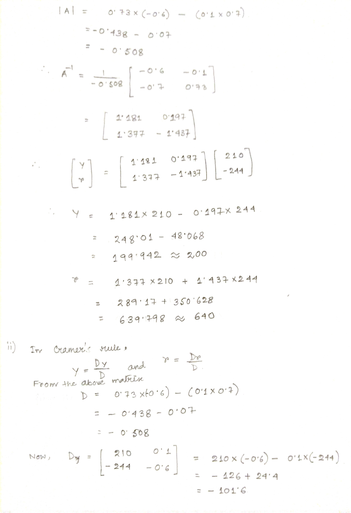
i) Use the inverse matrix method to solve for the equilibrium level of national income and the equilibrium rate of interest in this economy. (Note: ½ of the marks in this part are given for the correct set up of the equations. Explain what you are doing, including how equilibrium is established in each market.)
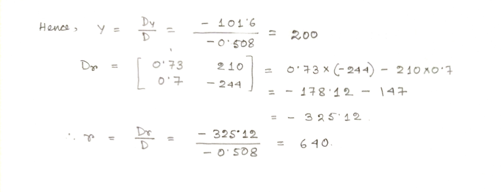
ii) Now use Cramer’s rule to find your answer.
From the above equation, we form the equation for IS and LM curve. Then we would form a 2x2 matrix to solve the value of Y and r.
For IS curve, we establish that goods market is in equilibrium and in LM curve, we establish that the money market is in equilibrium.
Now, if we consider the matrix form as, AX = C
then multiplying both side by A-1, we can get the solution for X.
i.e., A-1. AX = A-1. C
or, X = A-1. C
this is how we can solve the equations with the help of inverse matrix.


