In: Economics
The demand and supply functions are given by P= $1200 – $40Qd and P=$250 + $25Qs
A. Calculate the equilibrium price and quantity:
B. Sketch a graph indicating the reservation price, minimum selling price, and market equilibrium (You will add multiple layers so don’t make this too small!)
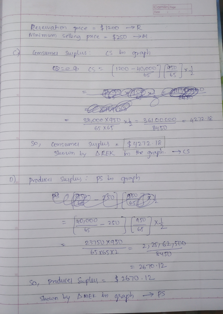
C. Determine the value of consumer surplus in equilibrium and show this area on your graph.
D. Determine the value of producer surplus in equilibrium and show this area on your graph.
E. Determine the value of economic surplus or total surplus at equilibrium.
F. If the government implements a $10 per unit tax on sellers, determine the new supply equation, write it here, and graph on your original graph with the new minimum selling price.
G. Determine the new equilibrium price and quantity and show on your graph.
H. Calculate the new consumer surplus. Are consumers better or worse off? Briefly explain.
I. Calculate the new producer surplus. Are producers better or worse off? Briefly explain.
Please answer F, G, H, I. A-E have already been answered.


B.
Reservation price: The maximum price a consumer is willing to pay. Or This is the price level after which if price increases, the quantity demanded will be zero. $1200 in this example.
Minimum selling price: The minimum price at which the seller is willing to sell the good. $250 in this example
C. Consumer surplus = $4272.18
D. Producer surplus = $2670.12.